上海交通大学和上海人工智能实验室的研究团队研发了一种名为hugwbc的通用人形机器人控制器,赋予机器人多种步态(包括行走、跑步、双脚跳跃和单脚跳跃)及精细化运动控制能力。该控制器突破了以往仅依赖速度指令或关键点的限制,引入了扩展指令空间,包含任务指令(速度)和行为指令(姿态、脚步、步态),实现对机器人行为的细粒度调整。
☞☞☞AI 智能聊天, 问答助手, AI 智能搜索, 免费无限量使用 DeepSeek R1 模型☜☜☜

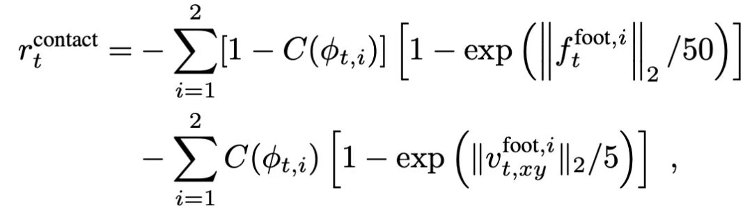
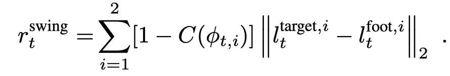
HugWBC框架整合了控制理论和强化学习,通过设计接触-摆动奖励和足端摆动奖励,引导机器人学习不同步态。 此外,它还利用对称奖励机制,鼓励机器人产生自然、对称的运动,并通过上肢噪声课程训练,提升控制器在外部上肢介入情况下的鲁棒性。

实验结果表明,HugWBC在指令跟踪精度和鲁棒性方面均优于基线方法。 它在各种步态下的指令跟踪误差较低,并能有效应对上肢干扰。 研究人员还通过热力图分析了不同指令组合对控制器性能的影响,揭示了指令间的相互作用关系。

总而言之,HugWBC控制器为人形机器人提供了更通用、更灵活的运动控制能力,为未来人形机器人在复杂环境下的应用奠定了坚实基础。项目主页:https://www.php.cn/link/e0ddc27e24c6e49ace5a5dcef6c784eb









以上就是从扭秧歌到单脚跳,HugWBC让人形机器人运动天赋觉醒了的详细内容,更多请关注php中文网其它相关文章!
每个人都需要一台速度更快、更稳定的 PC。随着时间的推移,垃圾文件、旧注册表数据和不必要的后台进程会占用资源并降低性能。幸运的是,许多工具可以让 Windows 保持平稳运行。
Copyright 2014-2025 https://www.php.cn/ All Rights Reserved | php.cn | 湘ICP备2023035733号