首页 > 新闻 > 硬件新闻 > 正文

莫名其妙的噪声都是怎么来的?

蓮花仙者
发布: 2025-04-25 10:28:01
原创
330人浏览过

▼关注公众号:工程师看海▼

大家好,我是工程师看海,欢迎点赞和分享原创内容!

最近内心有些不安,今晚在院子里乘凉时,不禁想起曾经并肩作战的同事们,在这满月的夜里,他们应该有不同的感受吧。

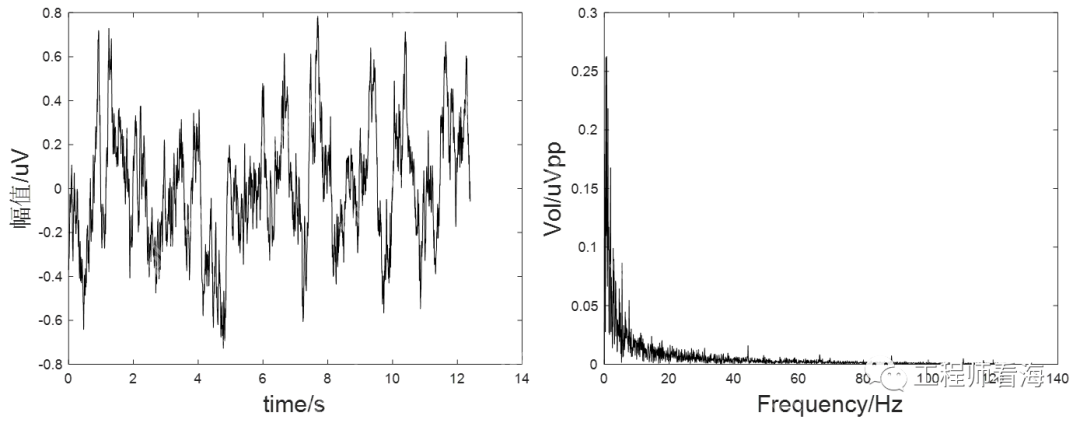
我们设计的uV级别信号采集方案,从原理到模拟环境测试都非常顺利,然而在实际现场采集时却无法获取任何信号。下图展示了时域和频域波形,完全看不到目标信号的成分,这简直是在采集寂静。。。。。

莫名其妙的噪声都是怎么来的?这个硬件架构从理论到仿真都表现良好,实验室内部测试模拟信号也正常,为什么到了现场测试就没有任何信号了呢?下图是实验室模拟采集的结果,效果还是相当不错的。

莫名其妙的噪声都是怎么来的?正当我感到困惑时,隔壁项目组突然找我帮忙解决问题。他们需要采集一个带宽较宽的信号,约1MHz,但总是有一个大约600Hz的干扰出现在系统中,甚至达到了mV级别,这是一个典型的EMC问题,从下图可以看到频率大约是580Hz。

原文来自公众号:工程师看海

莫名其妙的噪声都是怎么来的?分析隔壁项目组的问题相当复杂,我们彻底排查了电路,排除了系统自激和内部串扰(也称为串音干扰),也排除了电源引入的干扰,通过各种排除,最终将问题定位到他们使用的某个设备。这个设备需要靠近他们的采集系统放置,关闭设备后干扰就消失了,如下图所示的时域波形,这应该是低频近场耦合的问题。我从听到这个问题到定位大约用了3个小时,那晚我们忙到凌晨2点,幸好结果不错,也能睡得踏实一些。

莫名其妙的噪声都是怎么来的?然而,第一个问题依然困扰着我,为什么无法采集到信号呢?

Find JSON Path Online
Find JSON Path Online

Easily find JSON paths within JSON objects using our intuitive Json Path Finder

Find JSON Path Online 193
查看详情 Find JSON Path Online

就在前两天,又有兄弟项目组遇到了问题,和我的情况刚好相反,我是无法采集到信号,而他们是一采集信号就饱和。和我的情况非常相似的是,他们也是理论分析和模拟信号采集都正常,但是一旦到现场采集信号就饱和,问题发生的过程都非常相似,这就是真正的兄弟项目组啊。

我自己的问题还没解决,就过去和他们一起分析问题,没想到误打误撞反而为解决自己的问题带来了思路。

他们采集的是电解质液体中的电压信号,但是一连接系统,输出就立即达到最大值,而采集信号发生器的信号却非常好。我当时将这个问题归咎于他们所用的传感器类型,传感器是金属导体,而被采集的是电解质液体,即导电液体,我猜测导电液体与金属导体接触时会发生电化学腐蚀反应,他们系统之所以会饱和应该就是采集了这种腐蚀电压,相当于采集了一个电池。电化学腐蚀的原理如下图所示,不得不说,我国的初、高中数学、物理和化学课程真的非常优秀,能够解释和描述大部分生活现象。

莫名其妙的噪声都是怎么来的?电化学反应很常见,比如你如果用万用表的直流电压档位测凉水的电压,可能会发现大约有30mV的电压,而如果你把水换成烧开、沸腾的水,电压可能就会降低到10mV以内,这是因为烧开的水中氧气的成分减少了,我猜测这是因为金属的吸氧反应被降低,电子流动程度降低导致的,这只是我的猜测,欢迎大家留言讨论。

莫名其妙的噪声都是怎么来的?发现了原因之后,我初步制定了一套硬件优化方案,等兄弟们实践后看看结果如何,能不能打脸,就全靠他们了。看着我提出的方案,我一拍脑门,这不就是我的问题的反解吗!

我只要调整两个电阻的阻值,我的这个问题应该就能得到改善,能找到我的问题根因,也是误打误撞,电路设计的陷阱还是非常多的,书上写的再好,实际应用中总会遇到各种突发因素的影响。

这就像我最近在看的一个模型推导,推了半天,结果人家用的是另一个模型,就好比产品推销员向你吹嘘他们的电脑产品多牛逼,多快,多厉害,结果后来发现,他卖的却是手机,这谁心里会宁静啊!

以上就是莫名其妙的噪声都是怎么来的?的详细内容,更多请关注php中文网其它相关文章!

最佳 Windows 性能的顶级免费优化软件
最佳 Windows 性能的顶级免费优化软件

每个人都需要一台速度更快、更稳定的 PC。随着时间的推移,垃圾文件、旧注册表数据和不必要的后台进程会占用资源并降低性能。幸运的是,许多工具可以让 Windows 保持平稳运行。

下载
来源:php中文网
本文内容由网友自发贡献,版权归原作者所有,本站不承担相应法律责任。如您发现有涉嫌抄袭侵权的内容,请联系admin@php.cn
最新问题
开源免费商场系统广告
热门教程
更多>
最新下载
更多>
网站特效
网站源码
网站素材
前端模板
关于我们 免责申明 举报中心 意见反馈 讲师合作 广告合作 最新更新
php中文网:公益在线php培训,帮助PHP学习者快速成长!
关注服务号 技术交流群
PHP中文网订阅号
每天精选资源文章推送

Copyright 2014-2025 https://www.php.cn/ All Rights Reserved | php.cn | 湘ICP备2023035733号