- HSV的定义
hsv是一种将rgb颜色模型中的点转换到圆柱坐标系中的表示方法,这种表示方法旨在比rgb基于笛卡尔坐标系的几何结构更直观。hsv即色相、饱和度、明度(英文:hue, saturation, value),也被称为hsb,其中b代表brightness。
色相(H)是颜色的基本属性,即通常所说的颜色名称,如红色、黄色等,值域为0-360。红色对应0度,绿色对应120度,蓝色对应240度。饱和度(S)表示颜色的纯度,数值越高,颜色越纯,数值越低,颜色越接近灰色,取值范围为0-100%。明度(V)表示颜色的亮度,数值越低越接近黑色,取值范围同样为0-100%。
![[UWP]使用WriteableBitmap创建HSV色轮](https://img.php.cn/upload/article/001/503/042/175651284685216.jpg)
1.2 HSV与RGB
HSV在数学上定义为RGB空间中颜色的R、G、B坐标的变换。
![[UWP]使用WriteableBitmap创建HSV色轮](https://img.php.cn/upload/article/001/503/042/175651284738910.jpg)
1.2.1 从RGB到HSV的转换
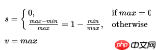
(r, g, b)分别表示颜色的红、绿、蓝坐标,它们的值为0到1之间的实数。设max为r、g、b中的最大值,min为这些值中的最小值:
![[UWP]使用WriteableBitmap创建HSV色轮](https://img.php.cn/upload/article/001/503/042/175651284725075.jpg)
![[UWP]使用WriteableBitmap创建HSV色轮](https://img.php.cn/upload/article/001/503/042/175651284784369.jpg)
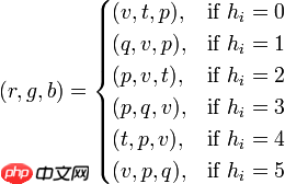
1.2.2 从HSV到RGB的转换
给定HSV中的(h, s, v)值定义的一个颜色,h表示色相,s和v分别表示饱和度和明度,值域为0到1之间。在RGB空间中对应的(r, g, b)三原色可以计算为(R、G、B的值域为0到1之间):
![[UWP]使用WriteableBitmap创建HSV色轮](https://img.php.cn/upload/article/001/503/042/175651284895614.jpg)
对于每个颜色向量(r, g, b):
![[UWP]使用WriteableBitmap创建HSV色轮](https://img.php.cn/upload/article/001/503/042/175651284889625.jpg)
1.3 HSV的应用
HSV模型通常用于计算机图形应用中。在需要用户选择颜色应用于特定图形元素的各种应用场景中,常使用HSV色轮。
![[UWP]使用WriteableBitmap创建HSV色轮](https://img.php.cn/upload/article/001/503/042/175651284813388.jpg)
由于HSV对用户来说是一种直观的颜色模型,因此常用于调整图片。下图为Paint.Net中调整图片的示例:
![[UWP]使用WriteableBitmap创建HSV色轮](https://img.php.cn/upload/article/001/503/042/175651284896280.jpg)
![[UWP]使用WriteableBitmap创建HSV色轮](https://img.php.cn/upload/article/001/503/042/175651284978694.jpg)
下图为UWPCommunityToolkit中通过Saturation调整图片的示例:
![[UWP]使用WriteableBitmap创建HSV色轮](https://img.php.cn/upload/article/001/503/042/175651285014435.jpg)
1.4 HSV与色轮
许多设计方面的书籍介绍了使用色轮为UI配色,由于篇幅限制,这里不详细讨论,具体可参考以下链接:网页设计中如何配色
- WriteableBitmap
WriteableBitmap提供了一种可写入并可更新的BitmapSource。也就是说,你可以动态更改图像,然后重新呈现更新后的图像。使用WinRTXamlToolkit可以轻松实现这一操作,代码如下:
var diameter = 100;
var source = new WriteableBitmap(diameter, diameter);
var pixels = source.PixelBuffer.GetPixels();
for (var i = 0; i < pixels.Length; i++) {
pixels[i] = 255 << 24; // 白色
}
source.SetSource(pixels);上面的代码将一个尺寸为100x100的WriteableBitmap的所有像素设为白色,然后设置为图片的Source。在这里,像素数据的格式为
BitmapPixelFormat.Bgra8,即用四个Byte分别表示颜色的BGRA(通常颜色表示为ARGB,如#FFFF0000即Alpha:255,Red:255,Green:0,Blue:0)。
还可以将WriteableBitmap保存为文件,同样使用WinRTXamlToolkit实现:
await source.SaveAsync(KnownFolders.PicturesLibrary, "Wheel.png");
- 使用WriteableBitmap创建HSV色轮
前面介绍了HSV色轮,也介绍了如何使用WriteableBitmap,那么用WriteableBitmap实现一个HSV色轮是一件很简单的事,只需要计算每个像素点距离中心点的角度(Hue)和距离(Saturation)得出HsvColor,再转换成ArgbColor填入WriteableBitmap就实现了。具体代码如下:
var diameter = width = height = 200; var radius = diameter / 2; var source = new WriteableBitmap(diameter, diameter); var pixels = source.PixelBuffer.GetPixels();for (var y = 0; y < height; y++) { for (var x = 0; x < width; x++) { var i = y width + x; if (Math.Sqrt((x - radius) (x - radius) + (y - radius) (y - radius)) > radius) { pixels.Bytes[i 4] = 0; pixels.Bytes[i 4 + 1] = 0; pixels.Bytes[i 4 + 2] = 0; pixels.Bytes[i 4 + 3] = 0; } else { var distanceOfX = x - radius; var distanceOfY = y - radius; var theta = Math.Atan2(distanceOfY, distanceOfX); if (theta < 0) theta += 2 Math.PI; var hue = theta 180 / Math.PI; var saturation = Math.Sqrt(distanceOfX distanceOfX + distanceOfY distanceOfY) / radius; var value = 1; var color = ColorHelper.FromHsv(hue, saturation, value); pixels.Bytes[i 4] = color.B; pixels.Bytes[i 4 + 1] = color.G; pixels.Bytes[i 4 + 2] = color.R; pixels.Bytes[i * 4 + 3] = 255; } } } source.SetSource(pixels);
![[UWP]使用WriteableBitmap创建HSV色轮](https://img.php.cn/upload/article/001/503/042/175651285094382.jpg)
有一个小问题,即使不仔细看也能看到圆形的边缘锯齿很严重。当然可以在上面的代码里加入高斯模糊的算法处理这些锯齿,但毕竟这篇文章不打算讨论到这么深入。可以简单地使用WriteableBitmapEx对整个WriteableBitmap进行高斯模糊:
source.Convolute(WriteableBitmapExtensions.KernelGaussianBlur5x5);
这样看起来就好很多了。
![[UWP]使用WriteableBitmap创建HSV色轮](https://img.php.cn/upload/article/001/503/042/175651285178983.jpg)
- HSV转RGB的陷阱
上面的代码中RGB和HSV互换使用了UWPCommunityToolkit中的ColorHelper,ColorHelper的介绍是这样的:
但这里有一个陷阱。以下代码将一个RGB color转换成HSV color,再转换回RGB color,看起来没什么问题:
var color = Color.FromArgb(255, 255, 20, 200);
var hsv = ColorHelper.ToHsv(color);
Debug.WriteLine(string.Format("H:{0} S:{1} V:{2}", hsv.H, hsv.S, hsv.V));
color = ColorHelper.FromHsv(hsv.H, hsv.S, hsv.V);
Debug.WriteLine(string.Format("R:{0} G:{1} B:{2}", color.R, color.G, color.B));但是看输出就能发现转回来的RGB color改变了:
H:314.042553191489 S:0.92156862745098 V:1 R:255 G:19 B:199
造成这个问题的原因在于RGB能表示的颜色范围有限,只是256 256 256=16777216种颜色。而HSV如果使用int值,只能表示360 100 100=3600000种颜色,如果用double则几乎有无数种组合,这样两种颜色模型间就不匹配了。这种情况下只能折衷一下限制HSV的精度了,改成下面的代码能解决上面的问题:
color = ColorHelper.FromHsv(Math.Round(hsv.H), Math.Round(hsv.S, 2), Math.Round(hsv.V, 2));
- 参考文献
- HSL and HSV - Wikipedia
- WriteableBitmap Class
- 源码
- HsvColorWheel for UWP









