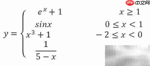
在数学领域,分段函数的求解通常依据自变量所处的不同区间分别进行计算。在vb编程环境中,这一逻辑同样可以高效实现,主要通过使用if语句或select case语句来判断输入值所属的区间范围,并执行对应的表达式,从而精确得出函数在该点的取值,确保程序逻辑清晰且运行稳定。
1、 以下图为例题进行详细分析说明。

2、 在窗体上添加两个标签控件、两个文本框以及两个命令按钮,并按如下方式布局界面。

3、 对窗体中的各个控件设置相应的名称及属性,具体配置如下所示。

4、 双击“计算”按钮,进入代码编写界面,开始编写函数计算逻辑,操作过程如下图所示。

5、 同样地,双击“退出”按钮,进入代码编辑状态,添加关闭程序的相关代码,操作示意如下。
本文档主要讲述的是MATLAB与VB混合编程技术研究;着重探讨了在VB应用程序中集成MATLAB实现程序优化的四种方法,即利用Matrix VB、调用DLL动态链接库、应用Active自动化技术和动态数据交换技术,并分析了集成过程中的关键问题及其基本步骤。这种混合编程实现了VB的可视化界面与MATLAB强大的数值分析能力的结合。希望本文档会给有需要的朋友带来帮助;感兴趣的朋友可以过来看看

6、 运行程序并输入测试数据以验证功能正确性。如图所示,当输入值为1时,输出y=3.718282;输入0时,y的结果为0。


7、 当输入-2时,得到y=-7;输入-3时,y显示为0.125。需要注意的是,由于VB内部的数据格式转换机制限制,部分小数前的零可能不会正常呈现。











