0

0

ICLR 2024 Oral|用巧妙的「传送」技巧,让神经网络的训练更加高效

王林

王林

发布时间:2024-05-10 08:04:11

|

731人浏览过

|

来源于机器之心

转载

☞☞☞AI 智能聊天, 问答助手, AI 智能搜索, 免费无限量使用 DeepSeek R1 模型☜☜☜

ICLR 2024 Oral|用巧妙的「传送」技巧,让神经网络的训练更加高效
AIxiv专栏是本站发布学术、技术内容的栏目。过去数年,本站AIxiv专栏接收报道了2000多篇内容,覆盖全球各大高校与企业的顶级实验室,有效促进了学术交流与传播。如果您有优秀的工作想要分享,欢迎投稿或者联系报道。投稿邮箱:liyazhou@jiqizhixin.com;zhaoyunfeng@jiqizhixin.com

本论文作者赵博是加州大学圣地亚哥分校的三年级在读博士,其导师为 Rose Yu。她的主要研究方向为神经网络参数空间中的对称性,及其对优化、泛化和损失函数地貌的影响。她曾获 DeepMind 奖学金,并且是高通创新奖学金的决赛入围者。邮箱:bozhao@ucsd.edu

众多神经网络模型中都会有一个有趣的现象:不同的参数值可以得到相同的损失值。这种现象可以通过参数空间对称性来解释,即某些参数的变换不会影响损失函数的结果。基于这一发现,传送算法(teleportation)被设计出来,它利用这些对称变换来加速寻找最优参数的过程。尽管传送算法在实践中表现出了加速优化的潜力,但其背后的确切机制尚不清楚。

近日,来自加州大学圣地亚哥分校、Flatiron Institute、美国东北大学等机构的研究人员发布的《Improving Convergence and Generalization Using Parameter Symmetries》论文中,展示了传送不仅能在短期内加快优化过程,而且能总体上缩短收敛时间。此外,研究还发现,传送到具有不同曲率的最小值可以改善模型的泛化能力,这意味着最小值的曲率与泛化能力之间存在联系。研究者们进一步将传送技术与多种优化算法以及基于优化的元学习相结合,这些结果充分展示了在优化过程中融入参数空间对称性的潜力。
ICLR 2024 Oral|用巧妙的「传送」技巧,让神经网络的训练更加高效
  • 论文链接:https://openreview.net/forum?id=L0r0GphlIL
  • 代码链接:https://github.com/Rose-STL-Lab/Teleportation-Optimization
  • 作者主页:https://b-zhao.github.io/

背景:对称性和传送算法

参数空间对称性(parameter space symmetry)是群 G 在参数空间(Param)上的一个作用,该作用使得损失函数 L 的值保持不变:
ICLR 2024 Oral|用巧妙的「传送」技巧,让神经网络的训练更加高效
对称传送算法(symmetry teleportation)在损失函数水平集中寻找更陡峭的点以加速梯度下降:
ICLR 2024 Oral|用巧妙的「传送」技巧,让神经网络的训练更加高效
传送后,损失值不会改变。然而,梯度和之后的训练轨迹会有所不同。
ICLR 2024 Oral|用巧妙的「传送」技巧,让神经网络的训练更加高效
传送对收敛速度的提高

论文第一部分提供了对传送提高收敛速度的理论证明。

通过传送,随机梯度下降(SGD)会收敛到一个包含多个静止点的盆地,其中通过传送可达的每个点都是静止的。图 1 中的定理提供了损失函数梯度期望值的上限。相比之下,普通 SGD 只能保证存在一个点 wt,使得梯度最终会很小。加入传送后,对于群作用轨道上所有的点,梯度都将很小。
ICLR 2024 Oral|用巧妙的「传送」技巧,让神经网络的训练更加高效
                               图 1:该定理提供了损失函数梯度期望值的上限

此外,在进行一次传送后,梯度下降的方向与牛顿法(Newton’s method)方向相同。因此,收敛速度具有一个二次收缩项,这是二阶方法的典型特征。相反,如果在相同的假设下省略传送步骤,算法的收敛速度将仅呈现线性收敛。图 2 中的定理展示了传送导致的线性和二次收敛的混合。
ICLR 2024 Oral|用巧妙的「传送」技巧,让神经网络的训练更加高效
                               图 2:该定理展示了传送导致的线性和二次收敛的混合

通过传送改善泛化能力

在探索机器学习模型优化的过程中,「传送」这一概念最初被提出是为了加速收敛并提高算法的效率。然而,在该论文的第二部分,研究者们将视野扩展到了一个新的目标 —— 提升模型的泛化能力。

泛化能力通常与模型在训练过程中达到的极小值的「锐度」(sharpness) 相关。为了深入理解这一点,研究者们引入了一个新的概念 ——「极小值曲率」(curvature),并讨论其对泛化的影响。通过观察极小值的锐度、曲率与泛化能力之间的关联,研究者们提出了一种新的方法,将锐度和曲率纳入传送的目标中来提升模型的泛化性能。 

图 3 通过可视化的方式展示了一个梯度流 L (w) 和一条极小值上的曲线(γ),这两条曲线的曲率对应着极小值的锐度和曲率。此外,表中还显示了测试集上的损失与锐度或曲率之间的 Pearson 相关性。在三个数据集中,锐度与验证损失呈强正相关,而极小值的曲率则与验证损失呈负相关。这些发现表明,具有较小锐度或较大曲率的极小值,可能会带来更好的泛化效果。
ICLR 2024 Oral|用巧妙的「传送」技巧,让神经网络的训练更加高效
                                   图 3:展示了一个梯度流 L (w) 和一条极小值上的曲线(γ)

这些相关性的一种解释来源于损失地形(loss landscape)在不同数据分布上的变化。当数据分布发生变化导致损失地形变化时,尖锐的极小值损失增加较大(如图 4 右侧所示)。在图 4 中,曲率较大的极小值与变化后的极小值距离更远(如图 4 左侧所示)。
ICLR 2024 Oral|用巧妙的「传送」技巧,让神经网络的训练更加高效
                                            图 4

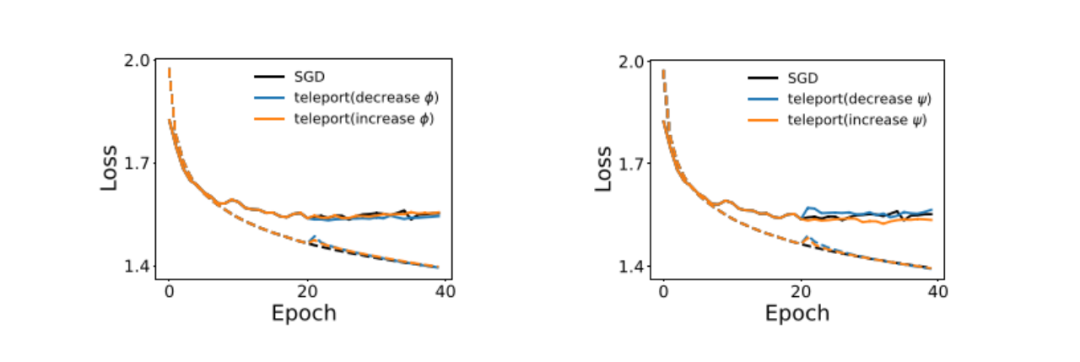
取得了极小值的属性与泛化能力的相关性后,该研究人员将参数传送到具有不同锐度和曲率的区域,以提高模型的泛化能力。图 5 为在 CIFAR-10 上 SGD 的训练曲线,其中在第 20 个 epoch 进行了一次传送。实线代表平均测试损失,虚线代表平均训练损失。
ICLR 2024 Oral|用巧妙的「传送」技巧,让神经网络的训练更加高效
                                                    图 5

传送到更平坦的点略微改善了验证损失。通过传送改变曲率对泛化能力有更显著的影响。传送到曲率较大的点有助于找到具有较低验证损失的极小值,而传送到曲率较小的点则产生相反的效果。这表明至少在局部,曲率与泛化相关。

传送和其他优化器的结合

标准优化器

传送不仅有助于 SGD 的收敛速度。为了展示传送与其他标准优化器的良好兼容性,研究者们使用不同的优化器在 MNIST 上训练了一个三层神经网络,并进行了带传送和不带传送的训练。如图 6 所示,在使用 AdaGrad、带动量的 SGD、RMSProp 和 Adam 时,传送提高了这些算法的收敛速度。
ICLR 2024 Oral|用巧妙的「传送」技巧,让神经网络的训练更加高效
                                图 6:在使用 AdaGrad、带动量的 SGD、RMSProp 和 Adam 时,传送提高了这些算法的收敛速度

学习传送

受条件编程(conditional programming)和基于优化的元学习(meta-learning)的启发,研究者们还提出了一个元优化器,用于学习在损失水平集中移动参数的位置。这种方法避免了在群流形上优化的计算成本,并改进了现有的仅限于局部更新的元学习方法。

图 7 总结了训练算法。研究人员使用了两个 LSTM 元优化器 (m1, m2) 来学习局部更新 ft 和传送中使用的群元素 gt。在两层 LeakyReLU 神经网络上的实验中,他们使用了不同初始化创建的多个梯度下降轨迹上训练元优化器,并在训练中未见过的新初始值上测试收敛速度。
ICLR 2024 Oral|用巧妙的「传送」技巧,让神经网络的训练更加高效
                                图 7:总结了训练算法

与基线相比,同时学习两种更新类型(LSTM (update,tele))比单独学习它们(LSTM (update) 、LSTM (lr,tele))能够实现更好的收敛速率。

总结

该论文的主要贡献包括传送加速 SGD 收敛的理论保证、极小值曲率的量化及其与泛化相关性的证据、基于传送的改善泛化的算法以及学习传送位置的元学习算法。

传送广泛适用于在损失水平集中搜索具有优秀属性的参数。对称性与优化之间的密切关系开启了许多激动人心的机会。探索传送中的其他目标是一个有潜力的未来方向。其他可能的应用包括将传送扩展到不同的架构,如卷积或图神经网络,以及不同的算法,如基于采样的优化。

相关专题

更多
页面置换算法
页面置换算法

页面置换算法是操作系统中用来决定在内存中哪些页面应该被换出以便为新的页面提供空间的算法。本专题为大家提供页面置换算法的相关文章,大家可以免费体验。

402

2023.08.14

http与https有哪些区别
http与https有哪些区别

http与https的区别:1、协议安全性;2、连接方式;3、证书管理;4、连接状态;5、端口号;6、资源消耗;7、兼容性。本专题为大家提供相关的文章、下载、课程内容,供大家免费下载体验。

1987

2024.08.16

高德地图升级方法汇总
高德地图升级方法汇总

本专题整合了高德地图升级相关教程,阅读专题下面的文章了解更多详细内容。

72

2026.01.16

全民K歌得高分教程大全
全民K歌得高分教程大全

本专题整合了全民K歌得高分技巧汇总,阅读专题下面的文章了解更多详细内容。

131

2026.01.16

C++ 单元测试与代码质量保障
C++ 单元测试与代码质量保障

本专题系统讲解 C++ 在单元测试与代码质量保障方面的实战方法,包括测试驱动开发理念、Google Test/Google Mock 的使用、测试用例设计、边界条件验证、持续集成中的自动化测试流程,以及常见代码质量问题的发现与修复。通过工程化示例,帮助开发者建立 可测试、可维护、高质量的 C++ 项目体系。

54

2026.01.16

java数据库连接教程大全
java数据库连接教程大全

本专题整合了java数据库连接相关教程,阅读专题下面的文章了解更多详细内容。

39

2026.01.15

Java音频处理教程汇总
Java音频处理教程汇总

本专题整合了java音频处理教程大全,阅读专题下面的文章了解更多详细内容。

19

2026.01.15

windows查看wifi密码教程大全
windows查看wifi密码教程大全

本专题整合了windows查看wifi密码教程大全,阅读专题下面的文章了解更多详细内容。

85

2026.01.15

浏览器缓存清理方法汇总
浏览器缓存清理方法汇总

本专题整合了浏览器缓存清理教程汇总,阅读专题下面的文章了解更多详细内容。

43

2026.01.15

热门下载

更多
网站特效
/
网站源码
/
网站素材
/
前端模板

精品课程

更多
相关推荐
/
热门推荐
/
最新课程
国外Web开发全栈课程全集
国外Web开发全栈课程全集

共12课时 | 1.0万人学习

微信小程序开发之API篇
微信小程序开发之API篇

共15课时 | 1.2万人学习

关于我们 免责申明 举报中心 意见反馈 讲师合作 广告合作 最新更新
php中文网:公益在线php培训,帮助PHP学习者快速成长!
关注服务号 技术交流群
PHP中文网订阅号
每天精选资源文章推送

Copyright 2014-2026 https://www.php.cn/ All Rights Reserved | php.cn | 湘ICP备2023035733号