
AIxiv专栏是本站发布学术、技术内容的栏目。过去数年,本站AIxiv专栏接收报道了2000多篇内容,覆盖全球各大高校与企业的顶级实验室,有效促进了学术交流与传播。如果您有优秀的工作想要分享,欢迎投稿或者联系报道。投稿邮箱:liyazhou@jiqizhixin.com;zhaoyunfeng@jiqizhixin.com
在过去十年间,基于随机梯度下降(sgd)的深度学习模型在许多领域都取得了极大的成功。与此同时各种各样的 sgd 替代产品也如雨后春笋般涌现。在这些众多替代产品中,adam 及其变种最受追捧。无论是 sgd,还是 adam,亦或是其他优化器,最核心的超参数非 learning rate 莫属。因此如何调整好 leanring rate 是炼丹师们从一开始就必学的技能。
从直觉上讲,影响 Learning rate 取值的重要因素是 Batch size。不知你在学习炼丹术时,是否遇到或者思考过入如下问题:
我的 Batch size 增加一倍,Learning rate 该怎么调整?
网上有说 Batch size 和 Learning rate 是线性放缩,也有说是平方根放缩,到底该按照哪个调整?
为什么我按照网上说的经验关系调整之后效果反而变差了?
腾讯混元联合北京大学基于现有科研基础和实际业务需求,在进行了大量理论分析和实验验证后发布了关于 Batch size 和 Learning rate 放缩关系的调参指南。
☞☞☞AI 智能聊天, 问答助手, AI 智能搜索, 免费无限量使用 DeepSeek R1 模型☜☜☜

论文:Surge Phenomenon in Optimal Learning Rate and Batch Size Scaling
论文地址:https://arxiv.org/pdf/2405.14578
1. 当使用 SGD 风格的优化器时,应当采用 OpenAI 2018 年给出的结论(https://arxiv.org/pdf/1812.06162):

2. 但是当使用 Adam 风格的优化器时,需要按照如下放缩规律:

其中
和 B 分别代表 Learning rate 和 Batch size,而
与 OpenAI 2020 年 Scaling law 论文(https://arxiv.org/pdf/2001.08361)中的
对应。从上面结论不难发现,当
时,社区中广为流传的线性放缩和平方根放缩在一定范围内都是正确的,并且分别对应使用 SGD 风格和 Adam 风格优化器的情况。
一、居然要降低学习率?
如果仔细观察 Adam 风格优化器放缩规律的表达式子会发现,当 Batch size 超过
后,随着 Batch size 增加最优的 Learning rate 反而是下降的!这样的结论似乎有点反常,但是仔细思考之后又觉得是合理的。首先我们回顾一下 Adam 的更新形式,梯度的一阶动量除以二阶动量的平方根:

(更详细的讨论参考原文中的附录 A)。与 SGD 直接采用 G 进行参数更新相比,
将更快的进入饱和区间,例如,假设 G 的均值是正实数,随着 Batch size 增加
估计为正数时,再增加估计的准确度对
的结果也毫无影响了。因此当 Batch size 超过
时,增加的信息不足以抵消
带来的噪声影响,从而导致此次的更新不再那么确信,以至于需要降低学习率。
二、观察到的下降区间
为了检验理论的正确性,需要从实验中观察到最优学习率的 “下降区间”。既然从上一节的分析中发现,使用 Adam 优化器时 Batch size 超过
就会导致最优学习率下降,那么只要确定出
取值,然后在通过网格搜索打点观察就可以了。虽然从形式上
计算很困难,但是幸运的是基于 OpenAI 关算于训练时间和样本效率的定量结论中我们可以估算出
的取值(更详细的讨论参考原文中的附录 G)。

上面展示了 CNN 在 FashionMNIST 上的学习率 “下降区间”。左图为通过 OpenAI 定量公式估算的
(左图直线斜率的负数,右图红色竖直虚线),右图中黄色五角星代表不同 Batch size 下的最优 Learning rate 取值,青色实线为我们的理论预估曲线。


以及 Resnet18 在 TinyImagenet,和 DistilGPT2 在 Eli5Category 上也观察到了类似现象。
三、浪涌现象
前面我们从理论和实验上都发现了,在使用 Adam 风格优化器时最优学习率曲线就像一朵 “浪花” 一样随着 Batch size 增加会先升高后下降。同时结合 OpenAI scaling law 的结论,随着训练进行
会逐渐变大。我们理论预测并实验证明了随着训练进行 “浪花” 逐渐向着大 Batch size 方向涌动:

四、理论发现
前面讨论过 Adam 风格的优化器在进行参数更新时采用类似
的形式。虽然此形式看起来很简单,但是由于推导过程涉及到对更新量均值和方差的考量,所以我们在处理的时候做了一个假设和一个近似:
1. 假设每个样本的参数 i 的梯度服从均值为
,方差为
的高斯分布
2. 通过 sigmoid-style 函数对高斯误差函数进行数值近似
当
时,完整的 Scaling law 形式近似为:

其中
,H 为海森矩阵。
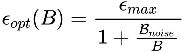
当
时:

表明,Batch size 无限大时最优学习率趋于一个饱和值。
五、应用
我们在腾讯 Angel 大模型训练框架中集成了上述理论成果,并在腾讯混元大模型训练任务中对理论进行进一步验证,未来将服务于各种大模型训练场景。
感谢阅读,更多详细内容,请参考原文。
以上就是腾讯混元、北大发现Scaling law「浪涌现象」,解决学习率调参难题的详细内容,更多请关注php中文网其它相关文章!
每个人都需要一台速度更快、更稳定的 PC。随着时间的推移,垃圾文件、旧注册表数据和不必要的后台进程会占用资源并降低性能。幸运的是,许多工具可以让 Windows 保持平稳运行。
Copyright 2014-2025 https://www.php.cn/ All Rights Reserved | php.cn | 湘ICP备2023035733号