第13天的编程挑战相对简单,尤其对数学基础扎实的朋友来说。起初我尝试蛮力法,但很快意识到随着难度增加,这种方法效率低下。在尝试解决这个问题时,我已经落后几天了。在参考了朋友的建议后,我研究了克莱默法则,最终找到了解决方案。

这是一个代码难题,涉及到一个非传统的爪机控制。我们有两个按钮,分别标记为a和b,它们控制爪机的移动方向,并且每个按钮的按下成本不同。
只要运用正确的数学方法,这个难题并不难。我们从解析输入数据开始:
cost_a = 3
cost_b = 1
type point = tuple[int, int]
type vector = tuple[int, int]
def extract_vector(input: str) -> vector:
return tuple(int(item.strip().lstrip("x").lstrip("y")) for item in input.split(","))
def extract_point(input: str) -> point:
return tuple(int(item.strip().lstrip("x=").lstrip("y=")) for item in input.split(","))
def parse(input: str, cost_a: int = cost_a, cost_b: int = cost_b) -> tuple[tuple[dict[vector, int], point], ...]:
result = ()
button, goal = {}, ()
for line in input.strip().splitlines():
if line.startswith("button a:"):
button[extract_vector(line.partition(":")[-1])] = cost_a
elif line.startswith("button b:"):
button[extract_vector(line.partition(":")[-1])] = cost_b
elif line.startswith("prize:"):
goal = extract_point(line.partition(":")[-1])
else:
result += ((button, goal),)
button, goal = {}, ()
return result + ((button, goal),)我最近开始在我的代码中添加类型提示。虽然这不会提高运行时性能,但它极大地提高了代码的可读性,尤其是在使用支持良好类型提示的编辑器时。反复输入诸如tuple[int, int]之类的复杂类型很繁琐。幸运的是,Python 3.12引入了类型别名的功能,例如:
type point = tuple[int, int] type vector = tuple[int, int]
这显著提高了解析函数的可读性。解析函数返回一个元组,每个内部元组包含一个按钮成本映射和目标点。
克莱默法则非常适合解决二元一次方程组,这正是我们需要的。我们有两个方程,分别代表爪机在x和y方向上的移动:

其中:
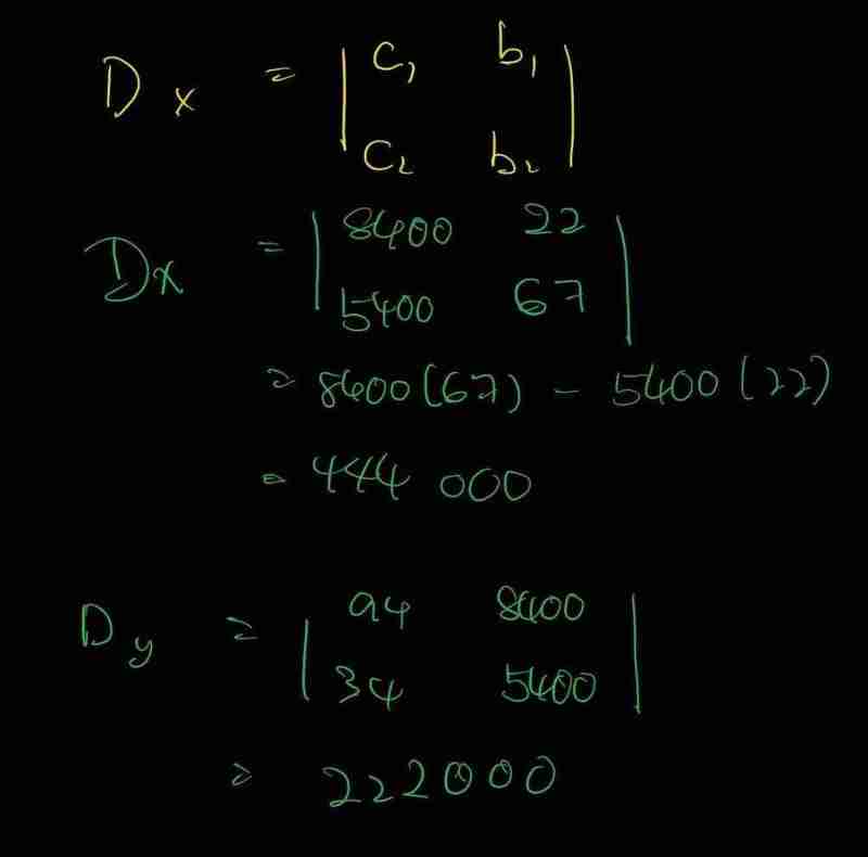
a_1, a_2: 按下按钮a引起的x和y方向移动b_1, b_2: 按下按钮b引起的x和y方向移动c_1, c_2: 奖品的目标x和y坐标x: 按下按钮a的次数y: 按下按钮b的次数示例输入中,按钮a按了80次,按钮b按了40次。我们可以用这些数据验证线性方程。计算得到的x和y坐标验证了我们的方程。
现在我们已经验证了问题可以用线性方程表示,我们可以将其改写成适合应用克莱默法则的形式,从而求解按下每个按钮的次数。这需要将方程表示成矩阵形式,Ax = b:

其中:
为了应用克莱默法则,我们首先需要计算矩阵A的行列式,记为d:
B2S商城系统B2S商城系统是由佳弗网络工作室凭借专业的技术、丰富的电子商务经验在第一时刻为最流行的分享式购物(或体验式购物)推出的开源程序。开发采用PHP+MYSQL数据库,独立编译模板、代码简洁、自由修改、安全高效、数据缓存等技术的应用,使其能在大浏览量的环境下快速稳定运行,切实节约网站成本,提升形象。注意:如果安装后页面打开出现找不到数据库等错误,请删除admin下的runtime文件夹和a
0

然后,我们计算行列式d_x和d_y。为了计算d_x,我们将常数矩阵b替换矩阵A的第一列。同样,为了计算d_y,我们将常数矩阵b替换矩阵A的第二列:

现在我们可以用克莱默法则计算按下按钮a (x) 和b (y) 的次数:

在实现中,我们需要一个函数来计算2x2矩阵的行列式。我们将矩阵表示为字典,键是(行,列)索引(从(0,0)开始),值是对应的矩阵元素:
def determinant(matrix: dict[point, int]) -> int:
return matrix[(0, 0)] * matrix[(1, 1)] - matrix[(0, 1)] * matrix[(1, 0)]接下来,我们实现使用克莱默法则解决难题的核心逻辑。find函数接收按钮移动和目标坐标作为输入,并返回每个按钮需要按下的次数:
def find(buttons: dict[vector, int], goal: point) -> dict[tuple[int, int], int]:
button_a, button_b = tuple(buttons.keys())
result = {button_a: 0, button_b: 0}
d = determinant(
{
(0, 0): button_a[0],
(1, 0): button_a[1],
(0, 1): button_b[0],
(1, 1): button_b[1],
}
)
dx = determinant(
{
(0, 0): goal[0],
(1, 0): goal[1],
(0, 1): button_b[0],
(1, 1): button_b[1],
}
)
dy = determinant(
{
(0, 0): button_a[0],
(1, 0): button_a[1],
(0, 1): goal[0],
(1, 1): goal[1],
}
)
if dx % d == 0 and dy % d == 0:
result = {button_a: dx // d, button_b: dy // d}
return result最后,我们组装第一部分的解决方案,它计算在所有爪机配置中获胜的总成本(点数)。它解析输入,使用find函数确定每个配置的按钮按下次数,并对按钮成本和按下次数的乘积求和:
def part1(input: str) -> int:
return sum(
buttons[button] * count
for buttons, goal in parse(input)
for button, count in find(buttons, goal).items()
)第二部分将1013添加到所需的x和y坐标。由于我们使用的是克莱默法则,只需简单地修改传递给find函数的目标坐标即可:
def part2(input: str) -> int:
return sum(
buttons[button] * count
for buttons, goal in parse(input)
for button, count in find(
buttons,
tuple(item + 10000000000000 for item in goal)
).items()
)这个难题比后来的代码挑战简单,但编写这篇文章却花费了更多时间。我必须仔细检查公式以确保准确性,并经常参考我的笔记以避免错误。我花在写这篇文章上的时间肯定比解决难题本身更多。
这就是本周的编程挑战。如果您正在寻找软件工程师加入您的团队,请随时联系!感谢您的阅读,我们下周再见!
以上就是在代码出现第13天应用Cramer的规则的详细内容,更多请关注php中文网其它相关文章!
每个人都需要一台速度更快、更稳定的 PC。随着时间的推移,垃圾文件、旧注册表数据和不必要的后台进程会占用资源并降低性能。幸运的是,许多工具可以让 Windows 保持平稳运行。
Copyright 2014-2025 https://www.php.cn/ All Rights Reserved | php.cn | 湘ICP备2023035733号