嗨!我是hexmos的创始人shrijith venkatrama。目前,我正在构建liveapi,该工具使您的代码中生成api文档非常容易。 添加标签以提高图形可读性
class value:
  def __init__(self, data, _children=(), _op='', label=''):
    self.data = data
    self._prev = set(_children)
    self._op = _op
    self.label = label
  def __repr__(self):
    return f"value(data={self.data})"
  def __add__(self, other):
    return value(self.data + other.data, (self, other), '+')
  def __mul__(self, other):
    return value(self.data * other.data, (self, other), '-')
a = value(2.0, label='a')
b = value(-3.0, label='b')
c = value(10, label='c')
e = a * b; e.label = 'e'
d = e + c; d.label = 'd'
print(d._prev)
print(d._op)
print("---")
print(e._prev)
print(e._op)
dot.node(name=uid, label="{ data %.4f }" % (n.data,), shape='record')
dot.node(name=uid, label="{ %s | data %.4f }" % (n.label, n.data), shape='record')
带有标签的重新渲染图
  
  
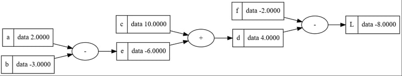
  让我们在表达式中添加一些节点-f和l
draw_dot(l)
我们上面构建的此图是布置节点的
我们要计算的 >我们想知道输入(权重-a,b,c,d,e,f)如何影响输出(损耗函数l)。因此 - 我们想找到:dl/dl,dl/df,dl/de,dl/dd,dl/dc,dl/db,dl/da。
添加毕业参数以适应反射class value:
  def __init__(self, data, _children=(), _op='', label=''):
    self.data = data
    self._prev = set(_children)
    self._op = _op
    self.label = label
    self.grad = 0.0 # 0 means no impact on output to start with
dot.node(name=uid, label="{ %s | data %.4f | grad %.4f }" % (n.label, n.data, n.grad), shape='record')
  
  
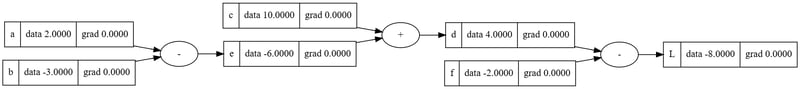
  节点l

l.grad = 1
表达
44543468844
  
  
  节点d
l = d * f by known rules: dl/dd = f by derivation: dl/dd = (f(x+h) - f(x))/h = (d*f + h*f - d*f)/h = h*f/h = f that is, dl/dd = f = -2.0
d.grad = -2.0
通过对称,我们得到dl/df = d = 4.0 
是,
f.grad = 4.0
>
 
def verify_dl_by_df(): h = 0.001 a = value(2.0, label='a') b = value(-3.0, label='b') c = value(10, label='c') e = a * b; e.label = 'e' d = e + c; d.label = 'd' f = value(-2.0, label='f') l = d * f; l.label = 'l' l1 = l.data a = value(2.0, label='a') b = value(-3.0, label='b') c = value(10, label='c') e = a * b; e.label = 'e' d = e + c; d.label = 'd' f = value(-2.0 + h, label='f') # bumb f a little bit l = d * f; l.label = 'l' l2 = l.data print((l2 - l1)/h) verify_dl_by_df() # prints out 3.9999 ~ 4
我们知道dl/dd = -2.0-所以我们知道l如何受d。>>的影响
> dd/dc =?
我们知道:
d = c e
因此,一旦我们通过c进行区分,我们就会得到:dd/dc = 1 
现在的问题是,如何将dd/dc和dl/dd组合在一起?
我们需要一些称为链条规则的东西:
因此,应用链条规则,我们得到:
dl/dc = dl/dd * dd/dc dl/dc = -2.0 * 1.0 = -2.0
>
>让我们在python中设置值,然后重新绘制图表:>
18574658665
  
  
  找出dl/da和dl/db
dl/de = -2.0
我们想知道:
dl/da = dl/de * de/da
e = a * b de/da = b de/da = b = -3.0
we can also find:
e = a * b de/db = a de/db = a = 2.0
dl/da = dl/de * de/da = -2.0 * -3.0 = 6.0 dl/db = dl/de * de/db = -2.0 * 2.0 = -4.0
我们在python中设置了值,然后redraw以获取完整图:
a.grad = 6.0 b.grad = -4.0
  
  
  参考
以上就是拼写的后传播 - 如karpathy所解释的详细内容,更多请关注php中文网其它相关文章!
                        
                        每个人都需要一台速度更快、更稳定的 PC。随着时间的推移,垃圾文件、旧注册表数据和不必要的后台进程会占用资源并降低性能。幸运的是,许多工具可以让 Windows 保持平稳运行。
                Copyright 2014-2025 https://www.php.cn/ All Rights Reserved | php.cn | 湘ICP备2023035733号