腾讯混元团队近日宣布开源专为翻译场景设计的 hunyuan-mt 系列模型,正式对外开放。目前该系列包含两个主要版本:
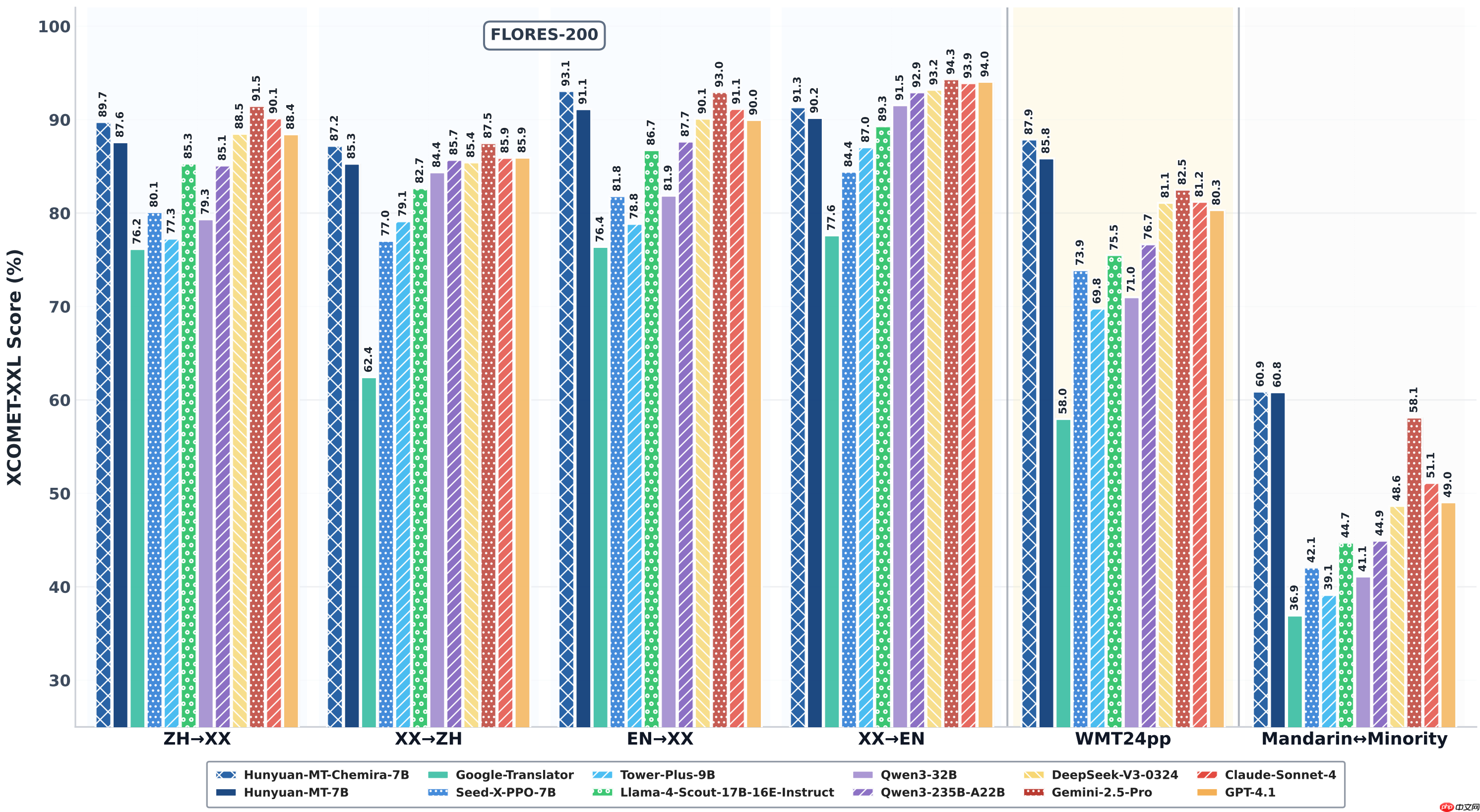
在相同参数规模下,Hunyuan-MT-7B 实现了当前业界领先的翻译能力,而 Hunyuan-MT-Chimera-7B 作为首个开源的翻译集成模型,进一步将翻译质量推向新高度。
核心亮点与优势
性能表现

开源地址:https://www.php.cn/link/414c073ee1379bd7bc7b332159cab1e6
以上就是腾讯开源混元翻译模型 Hunyuan-MT的详细内容,更多请关注php中文网其它相关文章!
                        
                        每个人都需要一台速度更快、更稳定的 PC。随着时间的推移,垃圾文件、旧注册表数据和不必要的后台进程会占用资源并降低性能。幸运的是,许多工具可以让 Windows 保持平稳运行。
                Copyright 2014-2025 https://www.php.cn/ All Rights Reserved | php.cn | 湘ICP备2023035733号