作者:edison_g

简要
现在目标检测器很少能同时实现训练时间短,推理速度快,精度高。为了达到平衡,作者就提出了Train-Friendly Network(TTFNet)。作者从light-head, single-stage, and anchor-free设计开始,这使得推理速度更快。然后作者重点缩短训练时间。
我们注意到,从注释框中编码更多的训练样本与增加批处理大小具有相似的作用,这有助于扩大学习速率和加速训练过程。为此作者就介绍了一种利用高斯核对训练样本进行编码的新方法。此外,为了更好地利用信息,还设计了主动样本权重。在MSCOCO上的实验表明,TTFNet在平衡训练时间、推理速度和精度方面具有很大的优势。它比以前的实时检测器减少了7倍以上的训练时间,同时保持了最先进的性能。此外,super-fast版本的TTFNet-18和TTFNet-53可以分别是SSD300和YOLOv3的训练时间不到十分之一。

历史回顾&背景
目标检测器的精度,推理速度,训练时间等方面都得到了广泛关注和不断提高。然而,很少工作可以在它们之间取得良好的平衡。直观地说,推理速度较快的检测器应该有较短的训练时间。然而,事实上大多数实时检测器比非实时检测器需要更长的训练时间。高精度检测器可以大致分为两种类型之——它们的推理速度慢,而且需要大量的训练时间。
第一类网络(Huang, L.; Yang, Y.; Deng, Y.; and Yu, Y. 2015. Densebox: Unifying landmark localization with end to end object detection.)一般依靠heavy检测头或复杂后处理。虽然这些设计有利于精度的提高和快速收敛,但它们显著降低了推理速度。因此,这种类型的网络通常不适合实时应用。
为了加快推理,研究人员努力简化检测头和后处理,同时保持准确性(Zoph, B., and Le, Q. V. 2017. Neural architecture search with reinforcement learning.)。在最近的一项名为CenterNet的研究中,推理时间进一步缩短,几乎与主干网络消耗的时间相同。然而,所有这些网络不可避免地需要很长的训练时间。这是因为这些网络由于简化而难以训练,使得它们在很大程度上依赖于数据增强和较长的训练时间。例如,CenterNet需要在公共数据集MSCOCO上进行140个epochs训练。相比之下,第一类网络通常需要12个epochs。
动机根据Linear Scaling Rule,可以通过增大batchsize提高learning rate,然而仔细分析SGD的公式,我们也可以通过增加高质量的正样本个数来起到同样的作用。也就是不仅可以增大n,也可以增大m。
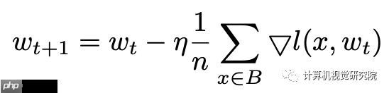
回顾随机梯度下降(SGD)的公式,权重更新表达式可以描述为:
Wifi优化大师最新版是一款免费的手机应用程序,专为优化 Wi-Fi 体验而设计。它提供以下功能: 增强信号:提高 Wi-Fi 信号强度,防止网络中断。 加速 Wi-Fi:提升上网速度,带来更流畅的体验。 Wi-Fi 安检:检测同时在线设备,防止蹭网。 硬件加速:优化硬件传输性能,提升连接效率。 网速测试:实时监控网络速度,轻松获取网络状态。 Wifi优化大师还支持一键连接、密码记录和上网安全测试,为用户提供全面的 Wi-Fi 管理体验。

至于目标检测,图像x可以包含多个注释框,这些框将被编码到训练样本s∈Sx。Mx=|Sx|表示图像x中所有框产生的样本数, 因此上公式可以表述为:

为了简化,假设mx对于小批量B中的每个图像x是相同的。关注个体训练样本s,上式可以改写为:

线性缩放规则是在经验中发现的,如果批处理大小乘以k,则学习速率应该乘以k,除非网络正在迅速变化,或者采用非常大的mini-batch批处理。也就是说,用小的mini-batch Bj和学习速率η执行k迭代基本上相当于用大的mini-batch ∪j∈[0,k)Bj和学习速率kη执行1迭代,只有当我们可以假设:

这个条件通常是在大规模的真实世界数据下满足的。

较大的学习速率不能帮助CenterNet更快地收敛,并且删除数据增强会导致性能变差。根据上面的结论,我认为这是因为CenterNet在训练过程中只在目标中心编码一个单一的回归样本。这种设计使得CenterNet在很大程度上依赖于数据增强和较长的训练时间,导致不友好的训练时间。
为了减少网络对数据增强的依赖,同时减少训练时间,我认为需要更好的编码回归样本的策略。在这一动机的指导下,作者提出新的方法,在 ablation研究中进行更全面的实验可以进一步验证新方法的优越性。
新方法










