首页 > 运维 > linux运维 > 正文

​基于机器视觉的视觉刺激BCI系统实现动态控制

看不見的法師
发布: 2025-07-15 10:22:42
原创
278人浏览过

视觉刺激(vs)是无创bmi应用中最常见的范式之一,因其高精确度和高信息传输率(itr)而备受青睐。尽管基于vs的bmi在信息传输速率上表现优异,但控制动态环境中的机器仍然是一大挑战。通过引入基于机器视觉的增强现实视觉刺激动态范式(ar-vs),利用动态决策时间区分法解码人的意图,该范式使得机器人在任务与自运动系统协调下,能够实现更高灵活性和更快的执行速度。

AR-VS范式

AR-VS范式包括两个主要模块:基于深度神经网络的物体识别(R)模块和跟踪(T)模块,以及一个刺激序列控制。在AR-VS中,VS可以根据环境中的目标物体动态生成。实验中采用动态SSVEP刺激,尽管VS的大小和位置会变化,但与每个物体的通信频率保持不变。

​基于机器视觉的视觉刺激BCI系统实现动态控制图1 AR-VS运行过程 (a) 现实环境中的AR-VS;(b) 和(c)为基于AR-VS的机器人控制系统示意图。

训练与分析过程

被试参与了两个实验:离线实验,采用视频方式刺激,VS持续移动;在线实验,要求受试者按指定顺序抓取三个不同的玩具,每次实验记录32路EEG信号。枕叶是SSVEP效应区,O1、O2、Oz、P3电极信号作为目标信号。信号分析采用滤波器组典型相关分析(FBCCA)方法,EEG信号首先被分解成各个子带,根据计算的相关性和对应权重获得最终频率结果。

​基于机器视觉的视觉刺激BCI系统实现动态控制图2离线实验时域设置(a)为第1-4实验交互范式(b)和(c)为第5-8实验交互范式。

​基于机器视觉的视觉刺激BCI系统实现动态控制图3 在线实验范式,红色圆圈为静态VS,对应前进、右转、左转、后退和停止。绿色圆圈表示四个玩具中有两个在场景中被认出,随后附加一个动态刺激。

​基于机器视觉的视觉刺激BCI系统实现动态控制图4 FBCCA分析方法。

结果

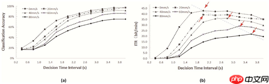
根据EEG分类结果,物体的尺寸和移动速度会影响动态特征的识别。更快的移动导致更低的目标功率,从而增加错误率,而较大的尺寸可以缓解移动速度快的影响。AR-VS范式的ITR和分类精度也受物体尺寸和移动速度的影响,通常移动速度较快的目标需要更多的实验数据进行训练。

千面视频动捕
千面视频动捕

千面视频动捕是一个AI视频动捕解决方案,专注于将视频中的人体关节二维信息转化为三维模型动作。

千面视频动捕 27
查看详情 千面视频动捕

​基于机器视觉的视觉刺激BCI系统实现动态控制图5原始EEG数据在不同移动速度和大小下的SSVEP的特征。梯度图像与移动速度之间的关系,VS大小及相应的Oz基线EEG功率。

​基于机器视觉的视觉刺激BCI系统实现动态控制图6 (a)为目标基线VS移动速度、功率和谐波频率之间关系;(b)为目标基线功率和谐波频率关系;(c)为AR-VS范式9 Hz处的目标功率比较;(d)为VS触发平均功率

​基于机器视觉的视觉刺激BCI系统实现动态控制图7 决策时间和精度的关系以及决策时间和信号传导速度的关系

尽管AR-VS范式在动态目标控制方面具有显著优势,但仍受目标移动速度的影响。此外,长期使用VS范式会导致疲劳,未来需要提高分类精度和减轻视觉疲劳。装置本身也需要向更轻便、更友好、更多样化的方向发展,以适应家庭和户外环境,同时考虑人/机器视觉与人-机混合系统之间的协调。

总体而言,基于AR-VS的范式可以优化其他基于VS的BMI,如传统的P300范式、无刺激电位范式和微型事件相关电位范式,从而在动态环境中获得更好的结果。

论文信息:

Machine-vision fused brain machine interface based on dynamic augmented reality visual stimulation[J]. Journal of Neural Engineering, 2021, 18(5):056061 (11pp).


仅用于学术交流,不用于商业行为,若有侵权及疑问,请后台留言,管理员即时删侵!

以上就是​基于机器视觉的视觉刺激BCI系统实现动态控制的详细内容,更多请关注php中文网其它相关文章!

相关标签:
最佳 Windows 性能的顶级免费优化软件
最佳 Windows 性能的顶级免费优化软件

每个人都需要一台速度更快、更稳定的 PC。随着时间的推移,垃圾文件、旧注册表数据和不必要的后台进程会占用资源并降低性能。幸运的是,许多工具可以让 Windows 保持平稳运行。

下载
来源:php中文网
本文内容由网友自发贡献,版权归原作者所有,本站不承担相应法律责任。如您发现有涉嫌抄袭侵权的内容,请联系admin@php.cn
最新问题
开源免费商场系统广告
热门教程
更多>
最新下载
更多>
网站特效
网站源码
网站素材
前端模板
关于我们 免责申明 举报中心 意见反馈 讲师合作 广告合作 最新更新 English
php中文网:公益在线php培训,帮助PHP学习者快速成长!
关注服务号 技术交流群
PHP中文网订阅号
每天精选资源文章推送
PHP中文网APP
随时随地碎片化学习

Copyright 2014-2025 https://www.php.cn/ All Rights Reserved | php.cn | 湘ICP备2023035733号