本文围绕基于Seq2Seq的聊天机器人展开,先介绍Seq2Seq在机器翻译、文本生成、情感分析等方面的应用,阐述其编码器-解码器的网络结构及理论基础。接着讲解实操过程,包括安装依赖、数据预处理(分词、构建字典等)、搭建Encoder和Decoder结构并组网,还涉及模型训练、测试函数构建等内容,最后说明因数据集少效果有限但能进行基础对话。
☞☞☞AI 智能聊天, 问答助手, AI 智能搜索, 免费无限量使用 DeepSeek R1 模型☜☜☜

基于Seq2Seq的聊天机器人
就是把一个句子到另一个句子 seq2Seq 应用: - 机器翻译:1. 给定一个源句子,自动翻译成目标语言。 2. 两个句子可以有不同长度 - 文本生成:1.客服对话 - 情感分析:识别文本的情感倾向
Seq2Seq 理论
概述
聊天机器人的研究可以追溯到20世纪50年代。Alan Turing提出了一个图灵测试来回答“机器会思考吗?”这一问题,然后掀起了人工智能研究的热潮。 然而,近年来,大型语言建模技术发展迅速。但是,我们仍然需要学习传统的nlp技术,如果我们想在未来走得更远,我们必须有深厚的基础。 一种常见的端到端序列学习方法seq2seq使用多层长短期记忆(LSTM)将输入序列映射到固定维向量,然后使用另一种深度LSTM从向量解码到目标序列。
网络结构解释
参考沐神的讲解哈,用机器翻译的例子
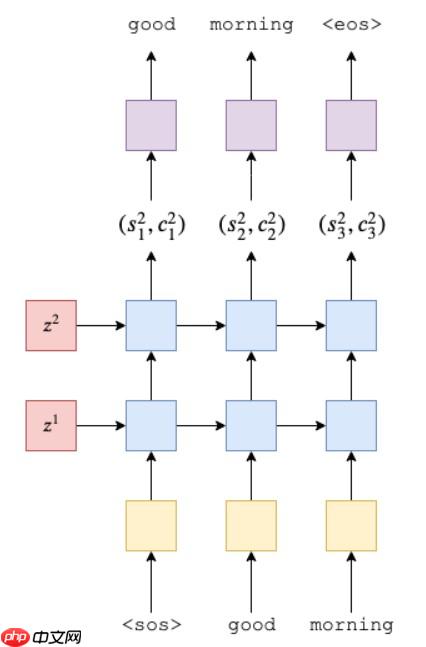
Seq2Seq(序列到序列),或序列到序列模型,是一种可以通过特定的生成方法从给定序列生成另一个序列的方法,并且两个序列的长度可以不等。这种结构也被称为编码器-解码器模型,即编码-解码模型,它是RNN的变体,以解决RNN需要等长序列的问题。

Encoder
RNN可以是双向,也就是句子可以正着,反着进去。编码器将长度可变的输入序列转换成 形状固定的上下文变量, 并且将输入序列的信息在该上下文变量中进行编码 

在前向计算中,我们传入源语句,并使用嵌入层将它们转换为密集向量,然后应用dropout。最后,将矢量传递到RNN中。当我们将整个序列传递给RNN网络时,它会自动对整个序列的隐藏状态进行递归计算。请注意,我们没有将初始隐藏状态或单元状态传递给RNN。这是因为,如果没有隐藏/单位状态传递给RNN,Paddle将自动创建一个初始状态作为全零张量。 代码如下:
class Encoder(nn.Layer):
def __init__(self,vocab_size,emb_dim,hid_dim,drop_out,n_layers):
#vocab_size:输入张量的维度,即字典的大小
#emb_dim:嵌入层的维度
#hid_dim:隐藏状态与单元状态的维度
#n_layers:RNN的层数
#dropout:丢弃的概率,防止过拟合
super(Encoder, self).__init__()
self.hid_dim=hid_dim
self.n_layers=n_layers
self.emb=nn.Embedding(vocab_size,emb_dim) #[batch_size,vocab_size,hid_dim]
self.lstm=nn.LSTM(emb_dim,hid_dim,n_layers)
self.drop=nn.Dropout(drop_out) def forward(self,x):
#src:[batch_size,sen_len]
x=self.drop(self.emb(x)) #x:[batch_size,sen_len,emb_dim]
y,(h,c)=self.lstm(x) #y:[batch size,sen_len,hid dim*n_directions]
#h:[n layers*n_directions,batch_size,hid_dim]
#c:[n layers*n_directions,batch size,hid_dim]
return h,cDecoder
The function is to output text(输出文本)


理论就到这里了哈~ 接下来我将以一个简单的例子,快速实现一个基于s2s的聊天机器人
实操聊天机器人
安装依赖
!pip install jieba !pip install --upgrade pip
Looking in indexes: https://mirror.baidu.com/pypi/simple/, https://mirrors.aliyun.com/pypi/simple/
Requirement already satisfied: jieba in /opt/conda/envs/python35-paddle120-env/lib/python3.7/site-packages (0.42.1)[notice] A new release of pip available: 22.1.2 -> 24.0[notice] To update, run: pip install --upgrade pipLooking in indexes: https://mirror.baidu.com/pypi/simple/, https://mirrors.aliyun.com/pypi/simple/
Requirement already satisfied: pip in /opt/conda/envs/python35-paddle120-env/lib/python3.7/site-packages (22.1.2)
Collecting pip
Downloading https://mirrors.aliyun.com/pypi/packages/8a/6a/19e9fe04fca059ccf770861c7d5721ab4c2aebc539889e97c7977528a53b/pip-24.0-py3-none-any.whl (2.1 MB) ━━━━━━━━━━━━━━━━━━━━━━━━━━━━━━━━━━━━━━━━ 2.1/2.1 MB 316.0 kB/s eta 0:00:0000:0100:01
Installing collected packages: pip
Attempting uninstall: pip
Found existing installation: pip 22.1.2
Uninstalling pip-22.1.2:
Successfully uninstalled pip-22.1.2
Successfully installed pip-24.0import jiebaimport numpy as npimport re#将无效字符去掉with open("datasets/one.txt","r",encoding="utf-8") as f:# with open("data/data86810/human_chat.txt","r",encoding="utf-8") as f:
data=f.read().replace("Human 1"," ").replace("Human 2"," ").replace("."," ").replace("*"," ").replace("@"," ").replace("^"," ").replace("&"," ").replace("!"," ").replace("#"," ").replace("$"," ").replace("?"," ").replace(";"," ").replace(":"," ").replace(","," ").replace('"',' ').replace("%"," ").replace("/"," ").replace("@"," ").replace("("," ").replace(")"," ").replace("'"," ").lower()
data=list(data.split("\n"))#print(len(data))lst=[]#分割出单词,连成序列for obj in data: # sen=list(obj.split(" "))
sen=list(jieba.cut(obj, cut_all=False))
lst.append(sen)Building prefix dict from the default dictionary ... Dumping model to file cache /tmp/jieba.cache Loading model cost 1.100 seconds. Prefix dict has been built successfully.
# 分词结果lst
[['你好'], ['您好'], ['你', '吃', '了', '吗'], ['我', '吃', '了', '呀'], ['你', '吃', '的', '什么'], ['我', '吃', '的', '三文鱼'], ['还有', '吗', '?', '给', '我', '吃', '点', '呗'], ['还有', ',', '我', '还', '没吃够', '呢', ',', '不能', '给', '。', '嘿嘿'], ['你', '多', '大', '了'], ['你', '猜猜'], ['我', '看', '你', '没到', '20'], ['对头', ',', '爷', '今年', '才', '18'], ['郭雨', '是', '谁'], ['大美女'], ['郭雨', '是', '谁'], ['是', '雨姐', '啊'], ['你', '是', '谁'], ['聊天', '机器人'], ['你', '知道', '我', '是', '谁', '吗'], ['你', '还', '没', '告诉', '我', '呢'], ['我', '叫', '郭雨'], ['嗯', '嗯', ',', '我', '记住', '了'], ['我', '是', '谁'], ['郭雨'], ['今天天气', '怎么样', '?'], ['很', '好', '。'], ['你', '感冒', '了', '?'], ['有点', '难受', '。'], ['你', '几岁', '?'], ['年龄', '是', '秘密'], ['你', '是', '哪里', '人'], ['中国', '人'], ['你', '家里', '有', '谁', '?'], ['我', '家里', '有', '你', '呀'], ['你', '是', '男', '的', '女', '的', '?'], ['我', '?', '可', '男', '可女', '可上', '可下', '可攻', '可受'], ['你', '哪位', '?'], ['额', ',', '你', '查户口', '的', '是', '吗', '?'], ['你好', ',', '在', '吗'], ['在', '的', '噢', ',', '请问', '有', '啥', '能', '帮', '你', '的', '么'], ['这件', '衣服', '有货', '吗'], ['请稍等', ',', '我', '帮', '您', '查', '一下'], ['你们', '的', '衣服', '质量', '怎么样', '啊'], ['质量', '您', '绝对', '可以', '放心', ',', '如果', '有', '任何', '质量', '问题', '我们', ',', '7', '天', '之内', '包', '退换'], ['衣服', '穿着', '不合身', ',', '怎么办'], ['亲', ',', '如果', '衣服', '实在', '穿着', '不合身', '的话', '我们', '是', '可以', '为', '您', '提供', '退换', '服务', '的', ',', '您', '先', '了解', '一下', '我们', '的', '退换货', '须知', '噢'], ['昨晚', '你', '睡', '得', '好', '吗', '?'], ['不', '知道', ',', '因为', '我', '睡着', '了', '。'], ['水果', '什么', '时候', '采摘', '最好', '?'], ['主人', '不', '在', '的', '时候', '。'], ['防止', '食物', '坏掉', '的', '最好', '的', '方法', '是', '什么', '?'], ['吃掉', '。'], ['不能', '冷冻', '的', '液体', '是', '什么', '?'], ['热水', '。'], ['为什么', '自由', '女神像', '站', '在', '纽约', '港口', '?'], ['因为', '她', '不能', '坐下', '来', '。'], ['你好'], ['你好', '呀', ',', '希望', '你', '今天', '过', '的', '快乐'], ['你好'], ['你好', '呀', ',', '~', '有', '什么', '新鲜事儿', '要', '对我讲', '?'], ['早'], ['但', '现在', '是', '上午', '呢', '。'], ['我爱你'], ['我', '也', '爱', '你', ',', '被', '你', '发现', '了'], ['谢谢'], ['不', '客气', '。'], ['再来一个'], ['目前', '还', '不会', '呀', ',', '和', '我', '聊点', '别的', '吧', ' '], ['小明'], ['你', '认识', '他', '啊', ',', '好', '厉害', '啊'], ['不', '和', '你', '玩', '了'], ['为什么', '你', '不', '跟', '我', '玩儿', '[', '哼', ']'], ['你', '是', '人', '吗'], ['我', '不是', '人', '难道', '是', '鬼', '啊'], ['你', '是', '什么', '人'], ['不是', '一般', '人', ',', '但', '一般', '人', '都', '喜欢', '我', '!', '奏', '是', '这么', '牛', '!'], ['傻', '逼'], ['我', '痛苦', '地', '捂住', '了', '脸'], ['老虎'], ['兽中之王'], ['欢迎'], ['欢迎', '你'], ['吓', '着', '了'], ['没有', ',', '妹纸', '怎么', '会', '吓', '到', '人'], ['潜水', '中'], ['别潜', '了', ' ', '起来', '和', '我', '玩吧'], ['哈哈'], ['哈哈', '。', '那', '你', '今年', '多大', '了', '呀', ' '], ['他帅', '吗', '?'], ['再帅', '有', '我帅', '吗'], ['他', '很丑'], ['啊', ',', '有', '多丑', '?', '凤姐', '一般', '吗', '?'], ['非常', '丑'], ['我', '不', '丑', '吗'], ['我', '说', '的', '对', '吧'], ['说', '的', '实在', '太对', '了'], ['你', '说', '的', '不', '对'], ['聪明', '的', '小', '主人', ',', '那', '你', '说', '怎么', '才', '是', '对', '的', '呀', '?'], ['杨惠', '好丑'], ['谢谢', '小', '主人', ',', '我', '记住', '了'], ['杨惠', ',', '我', '渣', '吗'], ['好', '囧', '啊', '好', '囧'], ['说话', '啊'], ['聊天', '吗', '?'], ['你好', '丑'], ['我', '丑', '喔', '自信', '好', '吧', ',', '别闪', '瞎', '你', '的', '眼'], ['大神'], ['大神', '不敢当']]
#将字符连接起来,制作字典zh_data = [' '.join(i) for i in lst]
string=" ".join(zh_data)#将特殊字符添入string1=" pad sos eos"#合并字符串string=string+string1#string=string.replace(''," ")#使用正则分割,防止有多个空格words=re.split(" +",string)#使用集合,防止单词重复words=list(set(words))
DIM = len(words)print(len(words))#获取字典dic=dict([(word,i) for i,word in enumerate(words)])241
因为数据集比较少,在jieba分词之后我们得到了dic这样一个字典,字典的键表示的是字符, 值对应的是向量的位置,将其组合到一起就构成了一个一个句子对应的向量空间。
dic
sen_len 也可以理解为每个向量的维度
#存储对话序列index_data=[]#每句话的长度,短句添加"pad",长句切至10sen_len=10for i,sen in enumerate(lst): #token映射至index,并防止出现空字符
sen=[dic[word] for word in sen if word!='' and word!=' '] #在开头添加"sos"
sen.insert(0,dic["sos"]) while len(sen)(54, 2, 10)
[[ 10 205 219 219 219 219 219 219 219 131]
[ 10 13 219 219 219 219 219 219 219 131]]
index_data 就将每一个句子转成了向量存储,我们后续在推理的时候,也要将用户的输入的文本转为这样的向量。所以用enbdeeing模型的好处就体现出来了,但是为了简单演示就不使用了哈~
#挑一个看看效果ask,ans=index_data[3]#将index序列转化为字符串ask_str=[words[i] for i in ask] ans_str=[words[i] for i in ans]print(ask_str)print(ans_str)#print(dic)
['sos', '还有', '吗', '?', '给', '我', '吃', '点', '呗', 'eos'] ['sos', '还有', ',', '我', '还', '没吃够', '呢', ',', '不能', 'eos']
DataLoader
我们在训练的时候,为了高效的加载数据,提高效率 需要构建DataLoader 先将数据加载进内存或显存中。这是必要的。
import paddlefrom paddle.io import Dataset,DataLoaderimport paddle.nn as nnimport random#batch大小batch_size=128class Mydataset(Dataset):
def __init__(self,index_data,dic):
super(Mydataset, self).__init__()
self.index_data=index_data
self.dic=dic def __getitem__(self,index):
ask_data,ans_data=self.index_data[index] #ask部分倒序,引入更多短期依赖关系
ask_data,ans_data=ask_data[:][::-1],ans_data return ask_data,ans_data def __len__(self):
return self.index_data.shape[0]#实例化读取器dataset=Mydataset(index_data,dic)#封装为迭代器dataloader=DataLoader(dataset,batch_size=batch_size,shuffle=True,drop_last=True)#看看效果for _,__ in dataloader(): print(_,__) # break数据加载器构建成功之后,我们就要开始搭建网络了。
构建Encoder结构
在encoder中使用了paddle的高级API nn.Lstm网络结构
class Encoder(nn.Layer):
def __init__(self,vocab_size,emb_dim,hid_dim,drop_out,n_layers):
#vocab_size:输入张量的维度,即字典的大小
#emb_dim:嵌入层的维度
#hid_dim:隐藏状态与单元状态的维度
#n_layers:RNN的层数
#dropout:丢弃的概率,防止过拟合
super(Encoder, self).__init__()
self.hid_dim=hid_dim
self.n_layers=n_layers
self.emb=nn.Embedding(vocab_size,emb_dim) #[batch_size,vocab_size,hid_dim]
self.lstm=nn.LSTM(emb_dim,hid_dim,n_layers)
self.drop=nn.Dropout(drop_out) def forward(self,x):
#src:[batch_size,sen_len]
x=self.drop(self.emb(x)) #x:[batch_size,sen_len,emb_dim]
y,(h,c)=self.lstm(x) #y:[batch size,sen_len,hid dim*n_directions]
#h:[n layers*n_directions,batch_size,hid_dim]
#c:[n layers*n_directions,batch size,hid_dim]
return h,c
vocab_size=len(dic)
emb_dim=128hid_dim=256drop_out=0.7n_layers=2#实例化encoderencoder=Encoder(vocab_size,emb_dim,hid_dim,drop_out,n_layers)
x=paddle.randint(0,130,[batch_size,sen_len])
h,c=encoder(x)#看看形状print(h.shape,c.shape)[2, 128, 256] [2, 128, 256]
搭建Encoder结构
class Decoder(nn.Layer):
def __init__(self,vocab_size,emb_dim,hid_dim,drop_out,n_layers):
super(Decoder, self).__init__()
self.vocab_size=vocab_size
self.emb_dim=emb_dim
self.hid_dim=hid_dim
self.emb=nn.Embedding(vocab_size,emb_dim)
self.lstm=nn.LSTM(emb_dim,hid_dim,n_layers)
self.drop=nn.Dropout(drop_out)
self.fc=nn.Linear(hid_dim,vocab_size) def forward(self,x,hidden,cell):
#x = [batch_size]
#hidden = [n_layers*n_directions, batch_size, hid_dim]
#cell = [n_layers*n_directions, batch_size, hid_dim]
#扩维
x=paddle.unsqueeze(x,axis=1) #x=[batch_size,1]
x=self.drop(self.emb(x)) #x=[batch_size,emb_dim]
output,(h,c)=self.lstm(x,(hidden,cell)) #output = [batch_size,1, hid_dim * n_directions]
#hidden = [n_layers * n_directions, batch_size, hid_dim]
#cell = [n_layers * n_directions, batch_size, hid_dim]
prediction=self.fc(output.squeeze(1)) #prediction=[batch_size,vocab_size]
return prediction,h,c
decoder=Decoder(vocab_size,emb_dim,hid_dim,drop_out,n_layers)
x=paddle.randint(0,136,[batch_size])
y,h,c=decoder(x,h,c)print(y.shape)[128, 241]
Encoder 和 Decoder 组网
import randomclass seq2seq(nn.Layer):
def __init__(self,encoder,decoder):
super(seq2seq, self).__init__()
nn.initializer.set_global_initializer(nn.initializer.XavierNormal(),nn.initializer.Constant(0.))
self.encoder=encoder
self.decoder=decoder def forward(self,source,target,teacher_forcing_ratio=0.5):
#src = [batch_size,src_len]
#trg = [batch_size,trg_len]
#teacher_forcing_ratio is probability to use teacher forcing
target_len=target.shape[1]
batch_size=target.shape[0]
outputs=paddle.zeros([target_len,batch_size,decoder.vocab_size]) #outputs=[tar_len,batch_size,vocab_size]
hidden,cell=self.encoder(source) #x为第一个词"sos"
x=target[:,0] #loop (tar_len-1)次
for t in range(1,target_len):
output,hidden,cell=self.decoder(x,hidden,cell) #保存token的张量
outputs[t]=output #判断是否动用teacher_forcing
flag=random.random()[10, 20, 241]
查看网络结构
#截断梯度@paddle.no_grad()def init_weights(m):
for name, param in m.named_parameters(): #均匀分布初始化
param.data=paddle.uniform(min=-0.2,max=0.2,shape=param.shape)#模型初始化model.apply(init_weights)seq2seq(
(encoder): Encoder(
(emb): Embedding(241, 128, sparse=False)
(lstm): LSTM(128, 256, num_layers=2
(0): RNN(
(cell): LSTMCell(128, 256)
)
(1): RNN(
(cell): LSTMCell(256, 256)
)
)
(drop): Dropout(p=0.7, axis=None, mode=upscale_in_train)
)
(decoder): Decoder(
(emb): Embedding(241, 128, sparse=False)
(lstm): LSTM(128, 256, num_layers=2
(0): RNN(
(cell): LSTMCell(128, 256)
)
(1): RNN(
(cell): LSTMCell(256, 256)
)
)
(drop): Dropout(p=0.7, axis=None, mode=upscale_in_train)
(fc): Linear(in_features=256, out_features=241, dtype=float32)
)
)def check(str_lst):
index_set=set(str_lst) #筛掉重复的单词
lst=list(index_set) #重复次数
zeros=[0 for index in lst] #组合为字典
index_dic=dict(zip(lst,zeros))
index_list=[] #找出重复的index地方
for i in range(len(str_lst)):
index=str_lst[i] if index in index_set:
index_dic[index]+=1
if index_dic[index]>1:
index_list.append(i) #删除重复处
str_lst=np.delete(str_lst,index_list)
str_lst=paddle.to_tensor(str_lst,dtype="int64") return str_lst
arr=np.array([1,2,3,4,1,1,2,2])print(check(arr))Tensor(shape=[4], dtype=int64, place=CPUPlace, stop_gradient=True,
[1, 2, 3, 4])为了方便测试,构建个函数
#测试函数def evaluate(model,ask_sen=ask):
ask_sen=paddle.to_tensor(ask_sen).unsqueeze(axis=0) #tar设为全零张量
tar=paddle.zeros([1,sen_len]) #第一个token设为"sos"
tar[0,0]=dic["sos"]
tar=tar.astype("int64") #获取answer
ans=model(ask_sen,tar,0) #压扁batch_size层
ans=ans.squeeze(axis=1) #获取概率最大的token
ans=ans.argmax(axis=1)
ans=check(ans.numpy()) #获取字符串
ans_str=[words[i] for i in ans] #连接字符串
string=" ".join(ans_str) return stringprint(evaluate(model,ask))冷冻 没到 猜猜 他帅
模型训练
现在我们有了数据,有了网络结构,就可以开始训练了哈~
learning_rate=2e-4epoch_num=1000#梯度裁剪,防止LSTM梯度爆炸clip_grad=nn.ClipGradByNorm(1)#设定loss,并忽略"pad"这个tokenloss=nn.CrossEntropyLoss(ignore_index=dic["pad"])#实例化优化器optimize=paddle.optimizer.Momentum(learning_rate,parameters=model.parameters(),grad_clip=clip_grad)
model.train()for epoch in range(epoch_num): for i,(user_data,assist_data) in enumerate(dataloader()): #清除梯度
optimize.clear_grad() #获取预测张量
predict=model(user_data,assist_data,0) #将predict展开,并去掉第一个词
predict=paddle.reshape(predict[1:],[-1,vocab_size]) #将assist_data展开,并去掉第一个词
assist_data=paddle.reshape(assist_data[:,1:],[-1]) #原predict=[0,y_hat1,y_hat2...]
#原assist_data=["sos",y1,y2...]
#因此要将第一个词去掉
predict=paddle.to_tensor(predict,dtype="float32")
str_predict=predict.argmax(axis=1)
str_del=check(str_predict.numpy()) #print("predict:",str_predict)
#print("del:",str_del)
num=str_predict.shape[0]-str_del.shape[0]
assist_data=paddle.to_tensor(assist_data,dtype="int64") #获取损失值
avg_loss=loss(predict,assist_data) #print(avg_loss.numpy(),num)
avg_loss+=num #反向传播求梯度
avg_loss.backward() #优化参数
optimize.minimize(avg_loss) #清除梯度
optimize.clear_grad() if i%10==0: print("epoch:%d,i:%d,loss:%f"%(epoch,i,avg_loss.numpy())) print(evaluate(model,index_data[random.randint(0,500)][0])) if epoch%10==0: #保存模型参数
paddle.save(model.state_dict(),"work/zh/seq2seq_1.pdparams")开始测试
由于数据集较少,训练的速度较快,但是效果并不会很好,但是基础对话还是可以的哈 加载训练完成的模型
encoder=Encoder(vocab_size,emb_dim,hid_dim,drop_out,n_layers)
decoder=Decoder(vocab_size,emb_dim,hid_dim,drop_out,n_layers)
model=seq2seq(encoder,decoder)
state_dict=paddle.load("work/zh/seq2seq.pdparams")
model.load_dict(state_dict)接下来构建一个将向量转为句子的函数
def transform(index_tensor):
string=[words[i] for i in index_tensor] return " ".join(string)测试开始
print("human 1:",transform(index_data[10][0]))print("human 2",evaluate(model,index_data[10][1]))human 1: sos 我 叫 郭雨 pad pad pad pad pad eos human 2 冷冻 没到 猜猜
transform(index_data[10][0])
'sos 我 叫 郭雨 pad pad pad pad pad eos'











