本项目通过狗鼻子纹路识别狗狗身份,类似人类指纹识别。使用含6000个狗狗id、20000个鼻纹图像的数据集,分训练集和测试集。用Resnet50模型,经25轮训练,测试集准确率达79.69%;还尝试通过余弦相似度计算,因训练轮次和数据量不足,精度仅30%多,后续需优化。
☞☞☞AI 智能聊天, 问答助手, AI 智能搜索, 免费无限量使用 DeepSeek R1 模型☜☜☜

人类可以通过指纹来辨别是否为同一个人,而狗同样可以通过鼻子上面的纹路来辨别是不是同一只狗。如果仔细观察狗的鼻子,您会发现狗的鼻子表面,有许多仿佛桑葚一样的纹路。而研究表明,每一只狗鼻子上面的编号都是独一无二的,因此可以使用它们来作为识别狗的一种方式,它的作用等同于人类手指上的指纹。
本项目主要通过识别狗狗的鼻子纹路,从而来判断当前这只狗狗的身份id。主要是通过Resnet50来实现,但也尝试取一部分数据集通过图片的相似度计算,实现狗狗身份的识别。
数据集由6000个狗狗id,20000个狗狗鼻纹图像组成。其中每一个狗狗id为一个文件夹,里面包含若干张狗狗鼻子纹路的图片和经数据增强的狗狗鼻子纹路的图片。其中每一张图片有相应的编号,其中2975_A_ap7NQ5mzS8QAAAAAAAAAAAAAAQAAAQ的 2975 代表狗狗的编号,而经过数据增强的狗鼻子纹路每张图片的名称末尾都会有个 -0 标志,如2975_A_ap7NQ5mzS8QAAAAAAAAAAAAAAQAAAQ-0。
2975_A_ap7NQ5mzS8QAAAAAAAAAAAAAAQAAAQ(原始图片) 2975_A_ap7NQ5mzS8QAAAAAAAAAAAAAAQAAAQ-0(数据增强后的图片)
加载数据集、导入必要的包
!unzip /home/aistudio/data/data151224/dir_train.zip -d /home/aistudio/work/ #解压数据集到work下面,之后再开启时就可不运行该语句
import osimport paddleimport randomimport numpy as npfrom PIL import Imageimport matplotlib.pyplot as pltimport paddle.nn.functional as F
import osimport randomimport numpy as np
x_train = np.zeros((37459, 3, 224, 224))
class_dict = {}
class_id = 0 #一开始狗狗的编号是从0开始,也就是说狗狗是从第0类开始path='work/dir_train'file_list=os.listdir(path)
file_list.sort(key=lambda x: int(x[0:4]))for img_file in file_list:
cur_path=os.path.join(path,img_file) if os.path.isdir(cur_path):
imgs=os.listdir(cur_path) for img in imgs: if 'jpg' in img:
dog_id = img_file if dog_id not in class_dict:
class_dict[dog_id]=class_id
class_id+=1fege=[] #将改变了的图片提取出来用于valother_imgs=[] #用于test的划分total=[]
total_end=[]for img_file in file_list:
cur_path=os.path.join(path,img_file) if os.path.isdir(cur_path):
imgs=os.listdir(cur_path) for img in imgs: if 'jpg' in img:
dog_id = img_file
last_path =cur_path+'/'+img
line = '%s %s\n' % (last_path, class_dict[dog_id])
total.append(line)
fege=img.split('.') if(fege[0][-1]=='0'):
other_imgs.append(line)print('all',len(total))# random.seed(0)#保证每次产生相同的随机数# random.shuffle(other_imgs)#打乱名称次序length=len(other_imgs)
test= other_imgs[:int(length*0.06)]print('test',len(test))for index in total: if index not in test:
total_end.append(index)
train = total_endprint('train',len(total_end))with open('work/data/train.txt', 'w', encoding='UTF-8') as f: for line in train:
f.write(line)
with open('work/data/test.txt', 'w', encoding='UTF-8') as f: for line in test:
f.write(line)all 38636 test 1177 train 37459
import osimport cv2import numpy as npfrom paddle.io import Datasetclass MyDataset(Dataset):
def __init__(self,label_path, transform=None):#初始化数据集,将样本和标签映射到列表中
super(MyDataset, self).__init__()
self.data_list = [] with open(label_path,encoding='UTF-8') as f: for line in f.readlines():
image_path, label = line.strip().split(' ')
self.data_list.append([image_path, label])
self.transform = transform def __getitem__(self, index):#定义指定index时如何获取数据,并返回单条数据(样本数据、对应的标签)
global x_train,y_train # 根据索引,从列表中取出一个图像
image_path, label = self.data_list[index] # 读取图片(以图片原本的形式加载)
image = cv2.imread(image_path, cv2.IMREAD_UNCHANGED) # 飞桨训练时内部数据格式默认为float32,将图像数据格式转换为 float32
image = image.astype('float32')
image = image /255.
if self.transform is not None:
image = self.transform(image)
label = np.array([int(label)]) # 返回图像和对应标签
return image, label def __len__(self):#返回数据集的样本总数
return len(self.data_list)在这里我们直接使用paddle.vision.transforms里面自带的数据增强函数。其内置了数十种图像数据处理方法,如Resize、ColorJitter、RandomHorizontalFlip等
import paddle.vision.transforms as T'''
对数据进行size修改,随机调整图像的亮度、对比度、饱和度和色调、基于概率来执行图片的水平翻转
'''transform = T.Compose([T.Resize(size=(224,224)),T.ColorJitter(),T.RandomHorizontalFlip(0.5),T.Transpose((2, 0, 1))])
train_dataset = MyDataset('work/data/train.txt', transform)
test_dataset = MyDataset('work/data/test.txt', transform)print('train_dataset images: ',len(train_dataset),' test_dataset images: ',len(test_dataset))train_dataset images: 37459 test_dataset images: 1177
随机挑选狗鼻子显示,在这里我们挑选了四张
此处显示的图片均已通过数据增强处理
from PIL import Image
height_width = 224show_train = np.zeros((4, 3, 224, 224), dtype='float32')def show_image(img,length):
box_size = height_width+4
num_rows=1
num_cols=length
collage=Image.new(mode="RGB",
size=(num_cols * box_size,num_rows * box_size),
color=(255, 255, 255)) for col_idx in range(num_cols):
array = (np.array(img[col_idx]) * 255).astype(np.uint8)
array = array.transpose(1,2,0) #将我们要显示的图贴在我们刚刚创建的collage版上
collage.paste(
Image.fromarray(array), (col_idx* box_size,(num_rows-1)* box_size)#将显示的图片贴在第几行,这里设置以(列,行)为准
)
collage = collage.resize(( num_cols * box_size, num_rows * box_size)) return collage
random_images=np.random.randint(0,37459,size=4)
length=len(random_images)for index in range(length):
put=random_images[index]
show_train[index,:,:,:]=train_dataset[put][0]
show_image(show_train,length)<PIL.Image.Image image mode=RGB size=912x228 at 0x7F77C2810B50>
1.模型组网,主要使用resnet50,在这我们直接调用paddle.vision.models下内置模型resnet50来实现
import paddle# 定义并初始化数据读取器train_loader = paddle.io.DataLoader(train_dataset, batch_size=128, shuffle=True, num_workers=3, drop_last=True)# 调用DataLoader迭代读取数据for batch_id, data in enumerate(train_loader()):
imgs, labels = data print("batch_id: {}, 训练数据shape: {}, 标签数据shape: {}".format(batch_id, imgs.shape, labels.shape)) breakbatch_id: 0, 训练数据shape: [128, 3, 224, 224], 标签数据shape: [128, 1]
#由于一共有6000个狗狗的id,所以在这我们的类别为6000resnet50 = paddle.vision.models.resnet50(num_classes=6000) paddle.summary(resnet50,(1,3, 224, 224)) # 可视化模型组网结构和参数
2.训练过程可视化
import matplotlib.pyplot as pltdef draw_train_process(title,iters,loss,accs,label_cost,lable_acc):
plt.title(title, fontsize=24)
plt.xlabel("iter", fontsize=20)
plt.ylabel("loss/acc", fontsize=20)
plt.plot(iters, loss,color='red',label=label_cost)
plt.plot(iters, accs,color='green',label=lable_acc)
plt.legend()
plt.grid()
plt.show()3.结果预测可视化
height_width=224show_test = np.zeros((2, 3, 224, 224), dtype='float32')def show_result(img,length):
box_size = height_width+4
num_rows=1
num_cols=length
collage=Image.new(mode="RGB",
size=(num_cols * box_size,num_rows * box_size),
color=(255, 255, 255)) for col_idx in range(num_cols):
array = (np.array(img[col_idx]) * 255).astype(np.uint8)
array = array.transpose(1,2,0) #将我们要显示的图贴在我们刚刚创建的collage版上
collage.paste(
Image.fromarray(array), (col_idx* box_size,(num_rows-1)* box_size)#将显示的图片贴在第几行,这里设置以(列,行)为准
)
collage = collage.resize(( num_cols * box_size, num_rows * box_size)) return collage4.模型训练
batch_size=128def train(model):
all_train_iter=0
all_train_iters=[]
all_train_loss=[]
all_train_accs=[] print('start training ... ')
model.train()
epoch_num = 25
opt = paddle.optimizer.Adam(learning_rate=0.0001,parameters=model.parameters())
loss_fn = paddle.nn.CrossEntropyLoss() for epoch in range(epoch_num): for batch_id, data in enumerate(train_loader()):
trains_data = data[0] # 训练数据
labels_data = data[1] # 训练数据标签
predicts = model(trains_data) # 预测结果
loss=loss_fn(predicts,labels_data)#计算loss
all_train_iter=all_train_iter+batch_size
acc=paddle.metric.accuracy(predicts, labels_data) #计算acc
all_train_iters.append(all_train_iter)
all_train_loss.append(loss)
all_train_accs.append(acc) # 反向传播
loss.backward() if batch_id % 500 == 0: print("epoch: {}, batch_id: {}, loss is: {}, acc is: {}".format(epoch, batch_id, loss.numpy(), acc.numpy())) # 更新参数
opt.step() # 梯度清零
opt.clear_grad()
draw_train_process("training",all_train_iters,all_train_loss,all_train_accs,"trainning loss","trainning acc")train(resnet50)
start training ... epoch: 0, batch_id: 0, loss is: [8.981798], acc is: [0.] epoch: 1, batch_id: 0, loss is: [8.651112], acc is: [0.] epoch: 2, batch_id: 0, loss is: [8.373802], acc is: [0.] epoch: 3, batch_id: 0, loss is: [7.1893845], acc is: [0.0078125] epoch: 4, batch_id: 0, loss is: [6.146961], acc is: [0.078125] epoch: 5, batch_id: 0, loss is: [4.7313113], acc is: [0.171875] epoch: 6, batch_id: 0, loss is: [3.5785356], acc is: [0.296875] epoch: 7, batch_id: 0, loss is: [2.3126612], acc is: [0.546875] epoch: 8, batch_id: 0, loss is: [1.5904088], acc is: [0.671875] epoch: 9, batch_id: 0, loss is: [0.8497794], acc is: [0.84375] epoch: 10, batch_id: 0, loss is: [0.7214346], acc is: [0.890625] epoch: 11, batch_id: 0, loss is: [0.6924722], acc is: [0.8515625] epoch: 12, batch_id: 0, loss is: [0.48501003], acc is: [0.9375] epoch: 13, batch_id: 0, loss is: [0.3722474], acc is: [0.921875] epoch: 14, batch_id: 0, loss is: [0.18851474], acc is: [0.984375] epoch: 15, batch_id: 0, loss is: [0.22275692], acc is: [0.9765625] epoch: 16, batch_id: 0, loss is: [0.11395013], acc is: [0.9921875] epoch: 17, batch_id: 0, loss is: [0.11722957], acc is: [0.9921875] epoch: 18, batch_id: 0, loss is: [0.09408636], acc is: [0.9921875] epoch: 19, batch_id: 0, loss is: [0.09137408], acc is: [0.984375] epoch: 20, batch_id: 0, loss is: [0.06177511], acc is: [1.] epoch: 21, batch_id: 0, loss is: [0.0960395], acc is: [0.984375] epoch: 22, batch_id: 0, loss is: [0.05559403], acc is: [0.9921875] epoch: 23, batch_id: 0, loss is: [0.07681009], acc is: [0.9921875] epoch: 24, batch_id: 0, loss is: [0.09800377], acc is: [0.9921875]
/opt/conda/envs/python35-paddle120-env/lib/python3.7/site-packages/matplotlib/cbook/__init__.py:2349: DeprecationWarning: Using or importing the ABCs from 'collections' instead of from 'collections.abc' is deprecated, and in 3.8 it will stop working if isinstance(obj, collections.Iterator): /opt/conda/envs/python35-paddle120-env/lib/python3.7/site-packages/matplotlib/cbook/__init__.py:2366: DeprecationWarning: Using or importing the ABCs from 'collections' instead of from 'collections.abc' is deprecated, and in 3.8 it will stop working return list(data) if isinstance(data, collections.MappingView) else data
<Figure size 432x288 with 1 Axes>
5.模型预测
# 加载测试数据集 from PIL import Image
test_loader = paddle.io.DataLoader(test_dataset, batch_size=64, drop_last=True)
loss_fn = paddle.nn.CrossEntropyLoss()# 将该模型及其所有子层设置为预测模式resnet50.eval()for batch_id, data in enumerate(test_loader()):# # 取出测试数据
test_data = data[0]
test_label_data = data[1]
box_size=228# # 获取预测结果
predicts = resnet50(test_data)print("predict finished")
loss=loss_fn(predicts,test_label_data)
acc=paddle.metric.accuracy(predicts,test_label_data)
print("loss is: {}, acc is: {}".format(loss.numpy(), acc.numpy()))# # 从测试集中取出一组数据img, label = test_loader().next()# # 执行推理并打印结果pred_label = resnet50(img)[0].argmax()print('true label: {}, pred label: {}'.format(label[0].item(), pred_label[0].item()))# # 可视化图片show_test[0,:,:,:]=train_dataset[label[0].item()][0]#存放真实值show_test[1,:,:,:]=img[0]#存放预测值show_result(show_test,2)predict finished loss is: [1.1780074], acc is: [0.796875] true label: 0, pred label: 0
<PIL.Image.Image image mode=RGB size=456x228 at 0x7F08E9C30810>
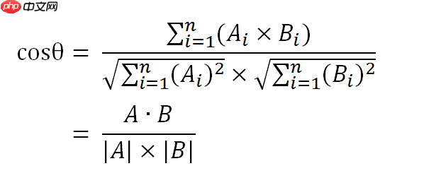
思路:先将图片使用卷积神经网络转换为高维空间的向量表示,然后计算两张图片间的相似程度。此处相似度计算我们通过余弦相似度来求得。在模型训练阶段,其训练目标是让同一类别的图片的相似程度尽可能的高,不同类别的图片的相似程度尽可能的低。图片间的相似度越高,我们就能知道这张图片是属于哪个狗狗的。
什么是余弦相似度?
一.原理
余弦相似度算法:一个向量空间中两个向量夹角间的余弦值作为衡量两个个体之间差异的大小,余弦值接近1,夹角趋于0,表明两个向量越相似,余弦值接近于0,夹角趋于90度,表明两个向量越不相似。
二.计算公式
1.二维空间中余弦函数的公式:
2.多维空间余弦函数的公式
在n维空间中如果有两个向量,向量a(a1,a2,a3,....,an),向量b(b1,b2,b3,....bn),根据点积公式可得:
余弦相似度判别
相似度越小,距离越大。相似度越大,距离越小。
1.获取训练集和测试集里的所有图片的标签
y_train= np.zeros((37459, 1), dtype='int64')#这里我们取37459是因为我们划分的训练集大小为37459for i in range(len(train_dataset)):
y_train[i, 0] = train_dataset[i][1]y_test= np.zeros((1177, 1), dtype='int64')#这里我们取1177是因为我们划分的测试集大小为1177for i in range(len(test_dataset)):
y_test[i, 0] = test_dataset[i][1]y_train = np.squeeze(y_train)#删除y_train数组的单维度y_test = np.squeeze(y_test)
print('y_train',y_train)print('y_test',y_test)y_train [ 0 0 1 ... 5999 5999 5999] y_test [ 0 0 1 ... 565 565 566]
2.分别将数据集和训练集里同一狗狗id的图片序号给集合起来,便于后面图片间的相似度计算
from collections import defaultdict
class_to_train = defaultdict(list)for train_idx, label in enumerate(y_train):
class_to_train[label].append(train_idx)
class_to_test = defaultdict(list)for test_idx, label in enumerate(y_test):
class_to_test[label].append(test_idx)3.定义并初始化数据读取器
bug出现了!
此处设置的数据读取器有个bug,一开始 num_classes 设为 6000类别可以继续执行下部操作,但后面重启后再运行,每次都卡在这个地方,头疼。在这我将 num_classes 设为40就可以正常运行。可能种类太多溢出了,但是很怪,毕竟前一天运行是可以的。由于后面将类别设置为60000时会出现内存不够的现象。但是还是想看一下基于图片相似度计算的效果,所以在这将类别设置为40,进行小小的测试。
import random
height_width=224num_classes = 40def read_iterator(num_batches):
iter_step = 0
while True: if iter_step > num_batches: break
iter_step+=1
# random_images=np.random.randint(0,100,size=num_classes)
x = np.empty((2, num_classes, 3, height_width, height_width), dtype=np.float32) for index in range(num_classes): # examples_for_class = class_to_train[random_images[index]]
examples_for_class = class_to_train[index]
anchor_idx = random.choice(examples_for_class)
positive_idx = random.choice(examples_for_class) while positive_idx == anchor_idx:
positive_idx = random.choice(examples_for_class)
x[0, index] = train_dataset[anchor_idx][0]
x[1, index] = train_dataset[positive_idx][0] # x[0, random_images[index]] = train_dataset[anchor_idx][0]
# x[1, random_images[index]] = train_dataset[positive_idx][0]
yield xexamples = next(read_iterator(num_batches=1000))print(examples.shape)
(2, 40, 3, 224, 224)
4.模型组网:把图片转换为高维的向量表示的网络,然后计算图片在高维空间表示时的相似度
import paddleimport paddle.nn.functional as Fclass MyNet(paddle.nn.Layer):
def __init__(self):
super(MyNet, self).__init__()
self.conv1 = paddle.nn.Conv2D(in_channels=3,
out_channels=224,
kernel_size=(3, 3),
stride=2)
self.conv2 = paddle.nn.Conv2D(in_channels=224,
out_channels=112,
kernel_size=(3,3),
stride=2)
self.conv3 = paddle.nn.Conv2D(in_channels=112,
out_channels=56,
kernel_size=(3,3),
stride=2)
self.conv4 = paddle.nn.Conv2D(in_channels=56,
out_channels=64,
kernel_size=(3,3),
stride=2)
self.conv5 = paddle.nn.Conv2D(in_channels=64,
out_channels=128,
kernel_size=(3,3),
stride=2)
self.gloabl_pool = paddle.nn.AdaptiveAvgPool2D((1,1))
self.fc = paddle.nn.Linear(in_features=128, out_features=8) def forward(self, x):
x = self.conv1(x)
x = F.relu(x)
x = self.conv2(x)
x = F.relu(x)
x = self.conv3(x)
x = F.relu(x)
x = self.conv4(x)
x = F.relu(x)
x = self.conv5(x)
x = F.relu(x)
x = self.gloabl_pool(x)
x = paddle.squeeze(x, axis=[2, 3])
x = self.fc(x)
x = x / paddle.norm(x, axis=1, keepdim=True) return xmodel=MyNet() model.train() paddle.summary(model,(1,3, 224, 224)) # 可视化模型组网结构和参数
W0623 11:35:05.132016 197 gpu_context.cc:278] Please NOTE: device: 0, GPU Compute Capability: 7.0, Driver API Version: 11.2, Runtime API Version: 10.1 W0623 11:35:05.136283 197 gpu_context.cc:306] device: 0, cuDNN Version: 7.6.
-------------------------------------------------------------------------------
Layer (type) Input Shape Output Shape Param #
===============================================================================
Conv2D-1 [[1, 3, 224, 224]] [1, 224, 111, 111] 6,272
Conv2D-2 [[1, 224, 111, 111]] [1, 112, 55, 55] 225,904
Conv2D-3 [[1, 112, 55, 55]] [1, 56, 27, 27] 56,504
Conv2D-4 [[1, 56, 27, 27]] [1, 64, 13, 13] 32,320
Conv2D-5 [[1, 64, 13, 13]] [1, 128, 6, 6] 73,856
AdaptiveAvgPool2D-1 [[1, 128, 6, 6]] [1, 128, 1, 1] 0
Linear-1 [[1, 128]] [1, 8] 1,032
===============================================================================
Total params: 395,888
Trainable params: 395,888
Non-trainable params: 0
-------------------------------------------------------------------------------
Input size (MB): 0.57
Forward/backward pass size (MB): 24.07
Params size (MB): 1.51
Estimated Total Size (MB): 26.16
-------------------------------------------------------------------------------{'total_params': 395888, 'trainable_params': 395888}5.模型训练,在这里我们使用matmul计算图片间的相似度。
def train(model):
print('start training ... ')
model.train()
epoch_num = 20
num_batches=100
opt = paddle.optimizer.Adam(learning_rate=0.0001,parameters=model.parameters())
for epoch in range(epoch_num): for batch_id, data in enumerate(read_iterator(num_batches=100)):
anchors_data, positives_data = data[0], data[1]
anchors = paddle.to_tensor(anchors_data)
positives = paddle.to_tensor(positives_data)
anchor = model(anchors)
positive = model(positives) #通过余弦相似度进行图片间的相似度计算
similarities = paddle.matmul(anchor, positive, transpose_y=True)
sparse_labels = paddle.arange(0, num_classes, dtype='int64')
labels=np.array(sparse_labels).reshape(len(sparse_labels),1)
labels = paddle.to_tensor(labels)
loss = F.cross_entropy(similarities, sparse_labels)
acc = paddle.metric.accuracy(similarities,labels) if batch_id % 100 == 0: print("epoch: {}, batch_id: {}, loss is: {}".format(epoch, batch_id, loss.numpy()))
loss.backward()# 反向传播
opt.step()# 更新参数
opt.clear_grad()# 梯度清零train(model)
6.模型预测
这里我们分别取出数据集跟测试集标签为0-40进行预测,因为我们前面模型训练的狗鼻子类别只有40类,所以在这我们取0-40,也就是标签0-40。
test_pp=[]
train_pp=[]for data in train_dataset:
img,label=data if label<=[40]:
test_pp.append(img)for data in test_dataset:
img,label=data if label<=[40]:
train_pp.append(img)
test_pp=paddle.to_tensor(test_pp)
train_pp=paddle.to_tensor(train_pp)
test_pp=model(test_pp)
train_pp=model(train_pp)
similarities = paddle.matmul(test_pp, train_pp, transpose_y=True)
sparse_labels = paddle.arange(0, len(test_pp), dtype='int64')
labels=np.array(sparse_labels).reshape(len(sparse_labels),1)
labels = paddle.to_tensor(labels)
loss = F.cross_entropy(similarities, sparse_labels)
acc = paddle.metric.accuracy(similarities,labels)print("loss is: {}, acc is: {}".format(loss.numpy(), acc.numpy()))loss is: [3.8872852], acc is: [0.36585367]
通过Resnet50模型进行狗鼻子预测,我们训练25轮取得98%的精度。
通过余弦相似度我们所预测的精度只有30%几。训练的轮次和数据量过少可能导致模型过拟合。后续将会进行补充与处理。
以上就是【Al达人特训营】基于狗鼻子识别狗狗身份的详细内容,更多请关注php中文网其它相关文章!
每个人都需要一台速度更快、更稳定的 PC。随着时间的推移,垃圾文件、旧注册表数据和不必要的后台进程会占用资源并降低性能。幸运的是,许多工具可以让 Windows 保持平稳运行。
Copyright 2014-2025 https://www.php.cn/ All Rights Reserved | php.cn | 湘ICP备2023035733号