本文介绍卷积神经网络(CNN),涵盖其包含的卷积层、ReLU层等各类层及相关运算、参数计算等,还讲解激活函数、BatchNorm层、Dropout,列举LeNet等经典网络,提及CNN改进思路,从优化指标和通用方法等方面阐述如何优化CNN。
☞☞☞AI 智能聊天, 问答助手, AI 智能搜索, 免费无限量使用 DeepSeek R1 模型☜☜☜

卷积神经网络通常包含以下几种层:
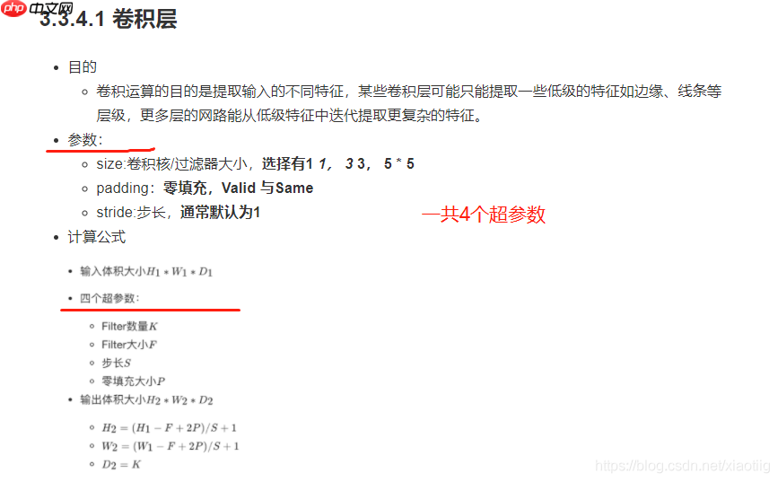
卷积层(Convolutional layer),卷积神经网路中每层卷积层由若干卷积单元组成,每个卷积单元的参数都是通过反向传播算法优化得到的。卷积运算的目的是提取输入的不同特征,第一层卷积层可能只能提取一些低级的特征如边缘、线条和角等层级,更多层的网络能从低级特征中迭代提取更复杂的特征。
线性整流层(Rectified Linear Units layer, ReLU layer),这一层神经的活性化函数(Activation function)使用线性整流(Rectified Linear Units, ReLU)f(x)=max(0,x)f(x)=max(0,x)。
池化层(Pooling layer),通常在卷积层之后会得到维度很大的特征,将特征切成几个区域,取其最大值或平均值,得到新的、维度较小的特征。
全连接层( Fully-Connected layer), 把所有局部特征结合变成全局特征,用来计算最后每一类的得分。
以5x5的矩阵为例:这里我们使用3x3的卷积核(无填充,步长为1)进行卷积运算
--
-- 卷积核为: [0,1,2,
2,2,0,
0,1,2]
其中第一个12的计算过程为3x0+3x1+2x2+
0x2+0x2+1x0+
3x0+1x1+2x2=0+3+4+0+0+0+0+1+4=12
# 简化计算,假设batchsize为1, 卷积核个数为1import numpy as np# 滑窗实现class Conv2d(object):
def __init__(self, img, c_out, kernel, stride, padding):
self.img = img
self.c_out = c_out
self.kernel = kernel
self.stride = stride
self.padding = padding def conv(self):
input_c, input_h, input_w = self.img.shape # out_ = []
# for c_o in range(self.c_out):
output = [] #分通道划窗计算
for c in range(input_c):
out = self.compute_conv(input[c], self.kernel[c])
output.append(out) # out_.append(sum(output))
return sum(output) def compute_conv(self, input_c, kernel_c):
k, _ = kernel_c.shape
h, w = input_c.shape if self.padding == "valid":
out_h = (h - k)//self.stride + 1
out_w = (w - k)//self.stride + 1
pad_h, pad_w = 0, 0
if self.padding == "same":
out_h, out_w = h, w
pad_w = (w*(self.stride-1)+k-self.stride)//2
pad_h = (h*(self.stride-1)+k-self.stride)//2
if self.padding == "full":
pad_w = k-1
pad_h = k-1
out_h = (w + 2*pad_h - k) // self.stride + 1
out_w = (h + 2*pad_w - k) // self.stride + 1
input_padding = np.zeros((h+pad_h*2, w+pad_w*2))
input_padding[pad_h:pad_h+h, pad_w:pad_w+w] = input_c
out = np.zeros((out_h, out_w)) for i in range(0, out_h): for j in range(0, out_w):
out[i, j] = np.sum(input_padding[i*self.stride:i*self.stride+k, j*self.stride:j*self.stride+k] * kernel_c) return out# 矩阵实现class Conv2dMatrix():
def __init__(self, img, c_out, kernel, stride, padding):
self.img = img
self.c_out = c_out
self.kernel = kernel
self.stride = stride
self.padding = padding def conv(self):
c, h, w = self.img.shape
c_k, k, _ = self.kernel.shape if self.padding == "same":
out_h, out_w = h, w
pad_w = (self.stride*(w-1) - w + k) // 2
pad_h = (self.stride*(h-1) - h + k) // 2
if self.padding == "valid":
out_h = (h-k) // self.stride + 1
out_w = (w-k) // self.stride + 1
pad_h = 0
pad_w = 0
if self.padding == "full":
pad_w = k - 1
pad_h = k - 1
out_h = (h + 2*pad_h - k) // self.stride + 1
out_w = (w + 2*pad_w - k) // self.stride + 1
img_padding = np.zeros((c, h+2*pad_h, w+2*pad_w))
img_padding[:, pad_h:pad_h+h, pad_w:pad_w+w] = self.img
feature_matrix = np.zeros((out_w*out_h, c_k*k*k))
patch = 0
for i in range(out_h): for j in range(out_w):
feature_patch = img_padding[:, i*self.stride:i*self.stride+k, j*self.stride:j*self.stride+k]
feature_matrix[patch] = feature_patch.flatten()
patch += 1
kernel_matrix = self.kernel.reshape(c_k*k*k, 1) return np.dot(feature_matrix, kernel_matrix).reshape(out_h, out_w)input = np.array([[[1, 2, 3, 4, 5]]*5])print("input=",input,"\n")input = input.reshape(-1, input.shape[1], input.shape[2])
kernel = np.array([[[0, 1, 1], [1, 0, 1], [1, 0, 0]]])
kernel = kernel.reshape(-1, kernel.shape[1], kernel.shape[2])
conv2d = Conv2d(input, 1, kernel, 1, padding="valid")
out1 = conv2d.conv()print("out1=",out1,"\n")print("==============================================\n")
conv2d_m = Conv2dMatrix(input, 1, kernel, 1, padding='valid')
out2 = conv2d_m.conv()print("out2=",out2,"\n")input= [[[1 2 3 4 5] [1 2 3 4 5] [1 2 3 4 5] [1 2 3 4 5] [1 2 3 4 5]]] out1= [[10. 15. 20.] [10. 15. 20.] [10. 15. 20.]] ============================================== out2= [[10. 15. 20.] [10. 15. 20.] [10. 15. 20.]]
池化(pool)即下采样(downsamples),目的是为了减少特征图。池化操作对每个深度切片独立,规模一般为 2*2,相对于卷积层进行卷积运算,池化层进行的运算一般有以下几种:
最常见的池化层是规模为2*2, 步幅为2,对输入的每个深度切片进行下采样。每个MAX操作对四个数进行,如下图所示:
池化操作将保存深度大小不变。
如果池化层的输入单元大小不是二的整数倍,一般采取边缘补零(zero-padding)的方式补成2的倍数,然后再池化。
池化层总结(Summary)
接收单元大小为:W1∗H1∗D1 需要两个参数(hyperparameters): their spatial extent F, the stride S, 输出大小:W2∗H2∗D2,其中: W2=(W1−F)/S+1
H2=(H1−F)S+1
D2=D1
不需要引入新权重
import numpy as np
input = np.array([
[1,2,1,1],
[0,1,2,1],
[1,1,0,1],
[3,0,0,1]])
k = np.array([
[0,1,0],
[0,1,0],
[0,1,0]])
h,w = input.shape
conv = [] # 卷积操作max_pool = [] # 最大池化ave_pool = [] # 平均池化
for i in range(h-2):
line_conv = [] for j in range(w-2):
t = input[i:i+3,j:j+3]
line_conv.append(np.sum(k*t)) # 输入3×3区域和卷积核进行对应元素相乘再相加
conv.append(line_conv)
for i in range(0,w,2):
line_ave = []
line_max = [] for j in range(0,h,2):
t = input[i:i+2,j:j+2]
line_ave.append(np.sum(t)/4)
line_max.append(np.max(t)) # 注意, 要用np.max(), 不是max()
ave_pool.append(line_ave)
max_pool.append(line_max)
print('conv = \n',conv,'\nmax_pool = \n',max_pool,'\nave_pool = \n',ave_pool)conv = [[4, 3], [2, 2]] max_pool = [[2, 2], [3, 1]] ave_pool = [[1.0, 1.25], [1.25, 0.5]]
全连接层和卷积层可以相互转换:
作为激活函数,将输入映射到0~1,因此可以通过 Sigmoid 函数将输出转译为概率输出,常用于表示分类问题的事件概率。 导数性质:在输入x=0时,导数最大为0.25;当输入为正负无穷时,梯度趋于0,会发生梯度弥散。 优点:平滑、易于求导 缺点:指数级计算,计算量大;容易出现梯度弥散的情况。
Tanh 函数能够将输入x映射到[−1,1]区间。是Sigmoid函数的改进版,输出有正有负,是以0为中心的对称函数,收敛速度快,不容易出现loss值震荡。但是无法解决梯度弥散问题,同时计算量也大
在 ReLU(REctified Linear Unit,修正线性单元)激活函数提出之前,Sigmoid 函数通常是神经网络的激活函数首选。但是 Sigmoid 函数在输入值较大或较小时容易出现梯度弥散现象,网络参数长时间得不到更新,很难训练较深层次的网络模型。2012 年提出的 8 层 AlexNet 采用了一种名叫 ReLU 的激活函数,使得网络层数达到了 8 层。ReLU 函数定义为:ReLU(x) = max(0, x)
ReLU 对小于 0 的值全部抑制为 0;对于正数则直接输出,这种单边抑制特性来源于生物学。其函数曲线如下:
优点: (1) 使训练快速收敛,解决了梯度弥散。在信息传递的过程中,大于0的部分梯度总是为1。 (2) 稀疏性:模拟神经元的激活率是很低的这一特性;ReLU的输入在大于0时才能传播信息,正是这样的稀疏性提高了网络的性能。
缺点:在输入小于0的时候,即使有很大的梯度传播过来也会戛然而止。
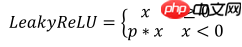
ReLU 函数在输入x < 0时梯度值恒为 0,也可能会造成梯度弥散现象,为了克服这个问题,提出了Leaky ReLU,定义如下:
其中p为用户自行设置的某较小数值的超参数,如 0.02 等。当p = 0时,LeayReLU 函数退化为 ReLU 函数。当p ≠ 0时,x < 0能够获得较小的梯度值,从而避免了梯度弥散。函数曲线如下:
Softmax 函数定义:
Softmax 函数不仅可以将输出值映射到[0,1]区间,还满足所有的输出值之和为 1 的特性。如下图的例子,输出层的输出为[2.,1.,0.1],经过 Softmax 函数计算后,得到输出为[0.7,0.2,0.1],可以看到每个值代表了当前样本属于每个类别的概率,概率值之和为 1。
通过 Softmax 函数可以将输出层的输出转译为类别概率,在多分类问题中使用的非常频繁。 另外,在softmax函数多分类问题中,若损失函数选用交叉熵,则下降梯度计算起来将会非常方便,使得网络训练过程中的迭代计算复杂度大大降低。
函数定义为:f(x)=ln(1+e^x),值域为(0,+无穷),其图像如下图所示:
softplus可以看作是ReLu的平滑。根据神经科学家的相关研究,softplus和ReLu与脑神经元激活频率函数有神似的地方。也就 是说,相比于早期的激活函数,softplus和ReLU更加接近脑神经元的激活模型。
在YOLOv3中,每个卷积层之后包含一个批量归一化层和一个Leaky ReLU。而在YOLOv4的主干网络CSPDarknet53中,使用Mish代替了原来的Leaky ReLU。Leaky ReLU和Mish激活函数的公式与图像如下:
常见的激活函数总结:
卷积神经网络的出现,网络参数量大大减低,使得几十层的深层网络成为可能。然而,在残差网络出现之前,网络的加深使得网络训练变得非常不稳定,甚至出现网络长时间不更新或者不收敛的情形,同时网络对超参数比较敏感,超参数的微量扰动也会导致网络的训练轨迹完全改变。
2015 年,Google 研究人员Sergey Ioffe等提出了一种参数标准化(Normalize)的手段,并基于参数标准化设计了 Batch Nomalization(简称 BatchNorm或 BN)层 。BN层提出后: (1)使得网络的超参数的设定更加自由,比如更大的学习率,更随意的网络初始化等,同时网络的收敛速度更快,性能也更好。 (2)广泛地应用在各种深度网络模型上,卷积层、BN 层,ReLU 层、池化层一度成为网络模型的标配单元,通过堆叠 Conv-BN-ReLU-Pooling 方式往往可以获得不错的模型性能。
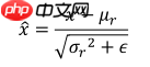
网络层的输入x分布相近,并且分布在较小范围内时(如 0 附近),更有利于函数的迭代优化。那么如何保证输入x的分布相近呢? 数据标准化可以实现此目的,通过数据标准化操作可以将数据x映射x ^:
其中Ur,6r^2来自统计的所有数据x的均值和方差,ϵ是为防止出现除 0的错误而设置的较小数,比如ϵ=1e−8。 很容易很看出来:上面的公式表示的是正太分布。也就是说,通过上面的公式计算,可以将原本随机分布的输入数据x,转化成按正太分布分布的数据x^ ,从而使得输入网络的数据分布较近,有利于网络的迭代优化。
上述的标准化运算并没有引入额外的待优化变量,μB、δB^2均由统计得到,不需要参与梯度更新。实际上,为了提高 BN 层的表达能力,BN 层作者引入了“scale and shift”技巧,将x^变量再次映射变换:
其中γ参数实现对标准化后的x^再次进行缩放,β参数实现对标准化的x^进行平移。不同的是,γ 、β参数均由反向传播算法自动优化,实现网络层“按需”缩放平移数据的分布的目的。 于是,在测试阶段,标准化公式与缩放平移结合变为:
LeNet-5是一个较简单的卷积神经网络。下图显示了其结构:输入的二维图像,先经过两次卷积层到池化层,再经过全连接层,最后使用softmax分类作为输出层
LeNet-5 这个网络虽然很小,但是它包含了深度学习的基本模块:卷积层,池化层,全连接层。是其他深度学习模型的基础, 这里我们对LeNet-5进行深入分析。同时,通过实例分析,加深对与卷积层和池化层的理解。
LeNet-5共有7层,不包含输入,每层都包含可训练参数;每个层有多个Feature Map,每个FeatureMap通过一种卷积滤波器提取输入的一种特征,然后每个FeatureMap有多个神经元。
各层参数详解:
首先是数据 INPUT 层,输入图像的尺寸统一归一化为32*32。
注意:本层不算LeNet-5的网络结构,传统上,不将输入层视为网络层次结构之一。
输入图片:32*32
卷积核大小:5*5
卷积核种类:6
输出featuremap大小:28*28 (32-5+1)=28
神经元数量:28286
可训练参数:(55+1) * 6(每个滤波器55=25个unit参数和一个bias参数,一共6个滤波器)
连接数:(55+1)62828=122304
详细说明:对输入图像进行第一次卷积运算(使用 6 个大小为 55 的卷积核),得到6个C1特征图(6个大小为2828的 feature maps, 32-5+1=28)。我们再来看看需要多少个参数,卷积核的大小为55,总共就有6(55+1)=156个参数,其中+1是表示一个核有一个bias。对于卷积层C1,C1内的每个像素都与输入图像中的55个像素和1个bias有连接,所以总共有1562828=122304个连接(connection)。有122304个连接,但是我们只需要学习156个参数,主要是通过权值共享实现的。
输入:28*28
采样区域:2*2
采样方式:4个输入相加,乘以一个可训练参数,再加上一个可训练偏置。结果通过sigmoid
采样种类:6
输出featureMap大小:14*14(28/2)
神经元数量:14146
可训练参数:2*6(和的权+偏置)
连接数:(22+1)61414
S2中每个特征图的大小是C1中特征图大小的1/4。
详细说明:第一次卷积之后紧接着就是池化运算,使用 22核 进行池化,于是得到了S2,6个1414的 特征图(28/2=14)。S2这个pooling层是对C1中的2*2区域内的像素求和乘以一个权值系数再加上一个偏置,然后将这个结果再做一次映射。于是每个池化核有两个训练参数,所以共有2x6=12个训练参数,但是有5x14x14x6=5880个连接。
输入:S2中所有6个或者几个特征map组合
卷积核大小:5*5
卷积核种类:16
输出featureMap大小:10*10 (14-5+1)=10
C3中的每个特征map是连接到S2中的所有6个或者几个特征map的,表示本层的特征map是上一层提取到的特征map的不同组合。
存在的一个方式是:C3的前6个特征图以S2中3个相邻的特征图子集为输入。接下来6个特征图以S2中4个相邻特征图子集为输入。然后的3个以不相邻的4个特征图子集为输入。最后一个将S2中所有特征图为输入。则:可训练参数:6*(355+1)+6*(455+1)+3*(455+1)+1*(655+1)=1516
连接数:10101516=151600
详细说明:第一次池化之后是第二次卷积,第二次卷积的输出是C3,16个10x10的特征图,卷积核大小是 55. 我们知道S2 有6个 1414 的特征图,怎么从6 个特征图得到 16个特征图了? 这里是通过对S2 的特征图特殊组合计算得到的16个特征图。具体如下:
C3的前6个feature map(对应上图第一个红框的6列)与S2层相连的3个feature map相连接(上图第一个红框),后面6个feature map与S2层相连的4个feature map相连接(上图第二个红框),后面3个feature map与S2层部分不相连的4个feature map相连接,最后一个与S2层的所有feature map相连。卷积核大小依然为55,所以总共有6(355+1)+6*(455+1)+3*(455+1)+1*(655+1)=1516个参数。而图像大小为10*10,所以共有151600个连接。
C3与S2中前3个图相连的卷积结构如下图所示:
上图对应的参数为 355+1,一共进行6次卷积得到6个特征图,所以有6*(355+1)参数。 为什么采用上述这样的组合了?论文中说有两个原因:1)减少参数,2)这种不对称的组合连接的方式有利于提取多种组合特征。
输入:10*10
采样区域:2*2
采样方式:4个输入相加,乘以一个可训练参数,再加上一个可训练偏置。结果通过sigmoid
采样种类:16
输出featureMap大小:5*5(10/2)
神经元数量:5516=400
可训练参数:2*16=32(和的权+偏置)
连接数:16*(2*2+1)55=2000
S4中每个特征图的大小是C3中特征图大小的1/4
详细说明:S4是pooling层,窗口大小仍然是2*2,共计16个feature map,C3层的16个10x10的图分别进行以2x2为单位的池化得到16个5x5的特征图。这一层有2x16共32个训练参数,5x5x5x16=2000个连接。连接的方式与S2层类似。
输入:S4层的全部16个单元特征map(与s4全相连)
卷积核大小:5*5
卷积核种类:120
输出featureMap大小:1*1(5-5+1)
可训练参数/连接:120*(1655+1)=48120
详细说明:C5层是一个卷积层。由于S4层的16个图的大小为5x5,与卷积核的大小相同,所以卷积后形成的图的大小为1x1。这里形成120个卷积结果。每个都与上一层的16个图相连。所以共有(5x5x16+1)x120 = 48120个参数,同样有48120个连接。C5层的网络结构如下:
输入:c5 120维向量
计算方式:计算输入向量和权重向量之间的点积,再加上一个偏置,结果通过sigmoid函数输出。
可训练参数:84*(120+1)=10164
详细说明:6层是全连接层。F6层有84个节点,对应于一个7x12的比特图,-1表示白色,1表示黑色,这样每个符号的比特图的黑白色就对应于一个编码。该层的训练参数和连接数是(120 + 1)x84=10164。 F6层的连接方式如下:
Output层也是全连接层,共有10个节点,分别代表数字0到9,且如果节点i的值为0,则网络识别的结果是数字i。采用的是径向基函数(RBF)的网络连接方式。假设x是上一层的输入,y是RBF的输出,则RBF输出的计算方式是:
网络解析(一):LeNet-5详解
上式w_ij 的值由i的比特图编码确定,i从0到9,j取值从0到7*12-1。RBF输出的值越接近于0,则越接近于i,即越接近于i的ASCII编码图,表示当前网络输入的识别结果是字符i。该层有84x10=840个参数和连接。
总结: LeNet-5是一种用于手写体字符识别的非常高效的卷积神经网络。 卷积神经网络能够很好的利用图像的结构信息。 卷积层的参数较少,这也是由卷积层的主要特性即局部连接和共享权重所决定。
# LeNetimport paddleimport paddle.nn.functional as F#定义模型class LeNetModel(paddle.nn.Layer):
def __init__(self):
super(LeNetModel, self).__init__() # 创建卷积和池化层块,每个卷积层后面接着2x2的池化层
#卷积层L1
self.conv1 = paddle.nn.Conv2D(in_channels=1,
out_channels=6,
kernel_size=5,
stride=1) #池化层L2
self.pool1 = paddle.nn.MaxPool2D(kernel_size=2,
stride=2) #卷积层L3
self.conv2 = paddle.nn.Conv2D(in_channels=6,
out_channels=16,
kernel_size=5,
stride=1) #池化层L4
self.pool2 = paddle.nn.MaxPool2D(kernel_size=2,
stride=2) #线性层L5
self.fc1=paddle.nn.Linear(256,120) #线性层L6
self.fc2=paddle.nn.Linear(120,84) #线性层L7
self.fc3=paddle.nn.Linear(84,10) #正向传播过程
def forward(self, x):
x = self.conv1(x)
x = F.relu(x)
x = self.pool1(x)
x = F.relu(x)
x = self.conv2(x)
x = self.pool2(x)
x = paddle.flatten(x, start_axis=1,stop_axis=-1)
x = self.fc1(x)
x = F.relu(x)
x = self.fc2(x)
x = F.relu(x)
out = self.fc3(x) return out
data = paddle.randn([1,1,28,28])print(data.shape)
net = LeNetModel()
predict = net(data)print(predict.shape)[1, 1, 28, 28] [1, 10]
AlexNet由Geoffrey和他的学生Alex提出,并在2012年的ILSVRC竞赛中获得了第一名。Alexnet共有8层结构,前5层为卷积层,后三层为全连接层。
AlexNet网络结构具有如下特点:
1.1 AlexNet在激活函数上选取了非线性非饱和的relu函数,在训练阶段梯度衰减快慢方面,relu函数比传统神经网络所选取的非线性饱和函数(如sigmoid函数,tanh函数)要快许多。
1.2 AlexNet在双gpu上运行,每个gpu负责一半网络的运算
1.3 采用局部响应归一化(LRN)。对于非饱和函数relu来说,不需要对其输入进行标准化,但Alex等人发现,在relu层加入LRN,可形成某种形式的横向抑制,从而提高网络的泛华能力。
1.4 池化方式采用overlapping pooling。即池化窗口的大小大于步长,使得每次池化都有重叠的部分。(ps:这种重叠的池化方式比传统无重叠的池化方式有着更好的效果,且可以避免过拟合现象的发生)
第一个卷积层
输入的图片大小为:2242243,为后续处理方便,普遍改为2272273
第一个卷积层为:11113即卷积核尺寸为1111,有96个卷积核,步长为4,卷积层后跟ReLU,因此输出的尺寸为 (227-11)/4+1=55,因此其输出的每个特征图 为 5555*96,同时后面经过LRN层处理,尺寸不变.
最大池化层,池化核大小为33,步长为2,输出的尺寸为 (55-3)/2+1=27,因此特征图的大小为:272796。由于双gpu处理,故每组数据有2727*48个特征图,共两组数据,分别在两个gpu中进行运算
第二层卷积层
每组输入的数据为272748,共两组数据
每组数据都被128个卷积核大小为: 5548进行卷积运算,步长为1,尺寸不会改变,同样紧跟ReLU,和LRN层进行处理.
最大池化层,核大小为33,步长为2,因此输出两组特征图:1313*128
第三层至第五层卷积层
输入的数据为1313128,共两组
第三层每组数据都被尺寸为 33192的卷积核进行卷积运算,步长为1,加上ReLU,得到两组1313192的像素层
第四层经过padding=1填充后,每组数据都被尺寸大小为 33192的卷积核卷积运算,步长为1,加上ReLU,输出两组1313192的像素层
第五层经过padding=1填充后,每组数据都被尺寸大小为 33128的卷积核进行卷积运算,步长为1,加上ReLU,输出两组1313128的像素层
经过33池化窗口,步长为2,池化后输出两组66*256的像素层
第六层至第八层全连接层
接下来的三层为全连接层,分别为:
6层. 4096 个神经元+ ReLU
7层. 4096个神经元 + ReLU
8层. 1000 个神经元,最后一层为softmax为1000类的概率值.
# AlexNetimport paddleimport paddle.nn.functional as Fimport numpy as npclass AlexNetModel(paddle.nn.Layer):
def __init__(self):
super(AlexNetModel, self).__init__()
self.conv_pool1 = paddle.nn.Sequential( #输入大小m*3*227*227
paddle.nn.Conv2D(3,96,11,4,0), #L1, 输出大小m*96*55*55
paddle.nn.ReLU(), #L2, 输出大小m*96*55*55
paddle.nn.MaxPool2D(kernel_size=3, stride=2)) #L3, 输出大小m*96*27*27
self.conv_pool2 = paddle.nn.Sequential(
paddle.nn.Conv2D(96, 256, 5, 1, 2), #L4, 输出大小m*256*27*27
paddle.nn.ReLU(), #L5, 输出大小m*256*27*27
paddle.nn.MaxPool2D(3, 2)) #L6, 输出大小m*256*13*13
self.conv_pool3 = paddle.nn.Sequential(
paddle.nn.Conv2D(256, 384, 3, 1, 1),#L7, 输出大小m*384*13*13
paddle.nn.ReLU()) #L8, 输出m*384*13*13
self.conv_pool4 = paddle.nn.Sequential(
paddle.nn.Conv2D(384, 384, 3, 1, 1),#L9, 输出大小m*384*13*13
paddle.nn.ReLU()) #L10, 输出大小m*384*13*13
self.conv_pool5 = paddle.nn.Sequential(
paddle.nn.Conv2D(384, 256, 3, 1, 1),#L11, 输出大小m*256*13*13
paddle.nn.ReLU(), #L12, 输出大小m*256*13*13
paddle.nn.MaxPool2D(3, 2)) #L13, 输出大小m*256*6*6
self.full_conn = paddle.nn.Sequential(
paddle.nn.Linear(256*6*6, 4096), #L14, 输出大小m*4096
paddle.nn.ReLU(), #L15, 输出大小m*4096
paddle.nn.Dropout(0.5), #L16, 输出大小m*4096
paddle.nn.Linear(4096, 4096), #L17, 输出大小m*4096
paddle.nn.ReLU(), #L18, 输出大小m*4096
paddle.nn.Dropout(0.5), #L19, 输出大小m*4096
paddle.nn.Linear(4096, 10)) #L20, 输出大小m*10
self.flatten=paddle.nn.Flatten() def forward(self, x): #前向传播
x = self.conv_pool1(x)
x = self.conv_pool2(x)
x = self.conv_pool3(x)
x = self.conv_pool4(x)
x = self.conv_pool5(x)
x = self.flatten(x)
x = self.full_conn(x) return x
data = paddle.randn([1,3,227,227])print(data.shape)
net = AlexNetModel()
predict = net(data)print(predict.shape)[1, 3, 227, 227] [1, 10]
残差神经网络(ResNet)是由微软研究院的何恺明、张祥雨、任少卿、孙剑等人提出的。ResNet 在2015 年的ILSVRC(ImageNet Large Scale Visual Recognition Challenge)中取得了冠军。
残差神经网络的主要贡献是发现了“退化现象(Degradation)”,并针对退化现象发明了 “快捷连接(Shortcut connection)”,极大的消除了深度过大的神经网络训练困难问题。神经网络的“深度”首次突破了100层、最大的神经网络甚至超过了1000层。
在2012年的ILSVRC挑战赛中,AlexNet取得了冠军,并且大幅度领先于第二名。由此引发了对AlexNet广泛研究,并让大家树立了一个信念——“越深网络准确率越高”。这个信念随着VGGNet、Inception v1、Inception v2、Inception v3不断验证、不断强化,得到越来越多的认可,但是,始终有一个问题无法回避,这个信念正确吗?
它是正确的,至少在理论上是正确的。
假设一个层数较少的神经网络已经达到了较高准确率,我们可以在这个神经网络之后,拼接一段恒等变换的网络层,这些恒等变换的网络层对输入数据不做任何转换,直接返回(y=x),就能得到一个深度较大的神经网络,并且,这个深度较大的神经网络的准确率等于拼接之前的神经网络准确率,准确率没有理由降低。
通过实验,ResNet随着网络层不断的加深,模型的准确率先是不断的提高,达到最大值(准确率饱和),然后随着网络深度的继续增加,模型准确率毫无征兆的出现大幅度的降低。
这个现象与“越深的网络准确率越高”的信念显然是矛盾的、冲突的。ResNet团队把这一现象称为“退化(Degradation)”。
ResNet团队把退化现象归因为深层神经网络难以实现“恒等变换(y=x)”。乍一看,让人难以置信,原来能够模拟任何函数的深层神经网络,竟然无法实现恒等变换这么简单的映射了?
让我们来回想深度学习的起源,与传统的机器学习相比,深度学习的关键特征在于网络层数更深、非线性转换(激活)、自动的特征提取和特征转换,其中,非线性转换是关键目标,它将数据映射到高纬空间以便于更好的完成“数据分类”。随着网络深度的不断增大,所引入的激活函数也越来越多,数据被映射到更加离散的空间,此时已经难以让数据回到原点(恒等变换)。或者说,神经网络将这些数据映射回原点所需要的计算量,已经远远超过我们所能承受的。
退化现象让我们对非线性转换进行反思,非线性转换极大的提高了数据分类能力,但是,随着网络的深度不断的加大,我们在非线性转换方面已经走的太远,竟然无法实现线性转换。显然,在神经网络中增加线性转换分支成为很好的选择,于是,ResNet团队在ResNet模块中增加了快捷连接分支,在线性转换和非线性转换之间寻求一个平衡。
按照这个思路,ResNet团队分别构建了带有“快捷连接(Shortcut Connection)”的ResNet构建块、以及降采样的ResNet构建块,区降采样构建块的主杆分支上增加了一个1×1的卷积操作,见图2。
图2 ResNet构建块示意图
图3展示了34层ResNet模型的架构图,仿照AlexNet的8层网络结构,我们也将ResNet划分成8个构建层(Building Layer)。一个构建层可以包含一个或多个网络层、以及一个或多个构建块(如ResNet构建块)。
第一个构建层,由1个普通卷积层和最大池化层构建。
第二个构建层,由3个残差模块构成。
第三、第四、第五构建层,都是由降采样残差模块开始,紧接着3个、5个、2个残差模块。
其余各个构建层见图3。
# resnetimport paddleimport paddle.nn.functional as Fimport numpy as np#构建模型class Residual(paddle.nn.Layer):
def __init__(self, in_channel, out_channel, use_conv1x1=False, stride=1):
super(Residual, self).__init__()
self.conv1 = paddle.nn.Conv2D(in_channel, out_channel, kernel_size=3, padding=1, stride=stride)
self.conv2 = paddle.nn.Conv2D(out_channel, out_channel, kernel_size=3, padding=1) if use_conv1x1: #使用1x1卷积核
self.conv3 = paddle.nn.Conv2D(in_channel, out_channel, kernel_size=1, stride=stride) else:
self.conv3 = None
self.batchNorm1 = paddle.nn.BatchNorm2D(out_channel)
self.batchNorm2 = paddle.nn.BatchNorm2D(out_channel) def forward(self, x):
y = F.relu(self.batchNorm1(self.conv1(x)))
y = self.batchNorm2(self.conv2(y)) if self.conv3:
x = self.conv3(x)
out = F.relu(y+x) #核心代码
return outdef ResNetBlock(in_channel, out_channel, num_layers, is_first=False):
if is_first: assert in_channel == out_channel
block_list = [] for i in range(num_layers): if i == 0 and not is_first:
block_list.append(Residual(in_channel, out_channel, use_conv1x1=True, stride=2)) else:
block_list.append(Residual(out_channel, out_channel))
resNetBlock = paddle.nn.Sequential(*block_list) #用*号可以把list列表展开为元素
return resNetBlockclass ResNetModel(paddle.nn.Layer):
def __init__(self):
super(ResNetModel, self).__init__()
self.b1 = paddle.nn.Sequential(
paddle.nn.Conv2D(3, 64, kernel_size=7, stride=2, padding=3),
paddle.nn.BatchNorm2D(64),
paddle.nn.ReLU(),
paddle.nn.MaxPool2D(kernel_size=3, stride=2, padding=1))
self.b2 = ResNetBlock(64, 64, 2, is_first=True)
self.b3 = ResNetBlock(64, 128, 2)
self.b4 = ResNetBlock(128, 256, 2)
self.b5 = ResNetBlock(256, 512, 2)
self.AvgPool = paddle.nn.AvgPool2D(2)
self.flatten = paddle.nn.Flatten()
self.Linear = paddle.nn.Linear(512, 10)
def forward(self, x):
x = self.b1(x)
x = self.b2(x)
x = self.b3(x)
x = self.b4(x)
x = self.b5(x)
x = self.AvgPool(x)
x = self.flatten(x)
x = self.Linear(x) return x
data = paddle.randn([1,3,96,96])print(data.shape)
net = ResNetModel()
predict = net(data)print(predict.shape)[1, 3, 96, 96] [1, 10]
/opt/conda/envs/python35-paddle120-env/lib/python3.7/site-packages/paddle/nn/layer/norm.py:654: UserWarning: When training, we now always track global mean and variance. "When training, we now always track global mean and variance.")
不同的网络(如VGG、Inception 以及 ResNet 等)在这些指标上有不同的权衡。此外,你还可以修改这些网络结构,例如通过削减某些层、增加某些层、在网络内部使用扩张卷积,或者不同的网络训练技巧。 关于Inception 以及 ResNet等内容可参考 #[ 博客链接 ]
结论:看重准确率,用超深层的 ResNet;看重速度,用 Inception。
同时针对class skew(数据偏斜/数据不均衡)的情况,可以采取以下方法:
针对数据很小的情况,对训练样本中数量不足的类别进行重复采样,这样有助于样本分布的均衡化。当可用数据较少的时候这个方法最能奏效。
针对数据量很大的情况,对数据先进行聚类,再将大的簇进行随机欠采样或者小的簇进行数据生成
对数据进行采用的过程中通过相似性同时生成并插样“少数类别数据”
先对多数类别进行随机的欠采样,并结合boosting算法进行集成学习
损失函数中使用类别权重:样本不足的类别赋予更高权重
把监督学习变为无监督学习,舍弃掉标签把问题转化为一个无监督问题,如异常检测
以下列举一些能够在没有太多的准确率损失的情况下加速 CNN 的运行,并减少内存消耗的方法。注意:所有方法都可以很容易地应用到任何一类CNN(卷积神经网络)的设计中。
使用深度分离的卷积来极大地减少运算和内存的消耗,同时仅牺牲 1% 到 5% 的准确率,准确率的牺牲程度取决于你想要获得的计算节约。
使用二进制卷积,意味着,卷积运算只涉及两个可能的数值:0 或者 1。通过这种设计,网络可以具有较高程度的稀疏性,易于被压缩而不消耗太多内存。
使用点组卷积和通道随机化来极大地减少计算代价,同时还能维持比 MobileNets 高的准确率。事实上,它们可以在超过 10 倍的运算速度下达到早期最先进的分类 CNN 的准确率。
删除 CNN 的部分权重的技术,而且有希望不降低准确率。为了保持准确率,被删除的部分应该对最终结果没有大的影响。链接中的论文展示了使用 ResNets 可以轻易地做到这一点。
通常来说,更大的卷积核准确率越高,但训练速度会变慢消耗内存也会更多,并且较大的卷积核会导致网络泛化能力很差,ResNet 和VGGNet 都相当全面的诠释了这一点
DilatedConvolution(扩张卷积)
上图中(a)是基础的卷积核,扩张卷积就是在这个基础卷积核加入间隔,上图(b)对应3 × 3 的dilation rate=2的卷积,但是间隔为1,也就是相当于对应7 × 7的图像块,可以理解为kernel size还是变成了7 × 7 ,但是却只有9个点有参数,其余的位置参数都是0,和输入特征图对应位置的像素进行卷积计算,其余的位置都略过。图©和图(b)是类似的,只是dilation rate=4,相当于变成了15 × 15 的卷积核。 而卷积核尺寸变大了,感受野也就自然变大。
宽度使得每一层学习到更加丰富的特征,以人脸识别为例,可以学到不同方向,不同频率的纹理特征,对于一个模型来说,浅层的特征非常重要,因此网络浅层的宽度是一个非常敏感的系数。宽度带来的计算量是平方级增长的。同时宽度带来的好处受制于边际效应,增加的每层的宽度越大,通过增加层宽而带来的模型性能提升也会越少。
网络更深带来的一个非常大的好处,就是逐层的抽象,不断精炼提取知识,如第一层学习到了边缘,第二层学习到了简单的形状,第三层开始学习到了目标的形状,更深的网络层能学习到更加复杂的表达。
选择合适的网络深度也是设计的重要思想之一,通常增加更多地层会提升准确率,同时会牺牲一些速度和内存。但是受制于边际效应,增加的层越多,通过增加每一层而带来的准确率提升将越少。
通常使用 ReLU 会在开始的时立即得到一些好的结果,但如果当ReLU得不到好的结果的适合,可以换成Sigmoid函数,如果还是不行则调整模型其它的部分,以尝试对准确率做提升。都得不到好结果的情况下,可以试着使用ELU、PReLU 、Sigmoid或者LeakyReLU等激活函数。
Oxford flower 102 数据集+ResNet
ResNetV1的残差结构:
ResNetV2的残差结构:
这里我做了四组实验:这里除了改了激活函数和残差块的结构其他均保持相同
从结果可以看出:v2比v1好,改用leaky_relu激活函数比relu激活函数要好。
<br/>
以上就是深度学习三步走(二)网络篇的详细内容,更多请关注php中文网其它相关文章!
每个人都需要一台速度更快、更稳定的 PC。随着时间的推移,垃圾文件、旧注册表数据和不必要的后台进程会占用资源并降低性能。幸运的是,许多工具可以让 Windows 保持平稳运行。
Copyright 2014-2025 https://www.php.cn/ All Rights Reserved | php.cn | 湘ICP备2023035733号